Revista Tecnología y Ciencia - Universidad Tecnológica Nacional

Año 23 - Número 54 / Sep - Dic. 2025

DOI:https://doi.org/10.33414/rtyc.54.65-79.2025

ISSN 1666-6933

Reconocimiento-NoComercial 4.0 Internacional

Contaminación por plaguicidas en Sábalos (Prochilodus lineatus) del Río Salado: Riesgo Alimentario para Poblaciones Vulnerables del Litoral Argentino

Pesticide Contamination in Sabalo fish (Prochilodus lineatus) from Salado River: Food Safety Risks for Vulnerable Populations from the Argentine Coast

Presentación: 16/07/2025

Aprobación: 18/09/2025

Publicación: 02/10/2025

Ana Paula Cuzziol Boccioni

https://orcid.org/0000-0002-8498-7134

Laboratorio de Ecotoxicología, Facultad de Bioquímica y Ciencias Biológicas, Universidad Nacional del Litoral, Santa Fe, Argentina; Consejo Nacional de Investigaciones Científicas Técnicas, Buenos Aires, Argentina.

anapaulacuzziolboccioni@gmail.com

Rafael Carlos Lajmanovich

https://orcid.org/0000-0002-2843-4391

Laboratorio de Ecotoxicología, Facultad de Bioquímica y Ciencias Biológicas, Universidad Nacional del Litoral, Santa Fe, Argentina; Consejo Nacional de Investigaciones Científicas Técnicas, Buenos Aires, Argentina.

lajmanovich@hotmail.com

María Rosa Repetti

https://orcid.org/0000-0001-7450-3493

Programa de Investigación y Análisis de Residuos y Contaminantes Químicos, Facultad de Ingeniería Química, Universidad Nacional del Litoral, Santa Fe, Argentina

marorepetti@gmail.com

Andrés Maximiliano Attademo

https://orcid.org/0000-0001-9029-4441

Laboratorio de Ecotoxicología, Facultad de Bioquímica y Ciencias Biológicas, Universidad Nacional del Litoral, Santa Fe, Argentina; Consejo Nacional de Investigaciones Científicas Técnicas, Buenos Aires, Argentina

mattademo@hotmail.com

Paola Mariela Peltzer

https://orcid.org/0000-0002-8533-1129

Laboratorio de Ecotoxicología, Facultad de Bioquímica y Ciencias Biológicas, Universidad Nacional del Litoral, Santa Fe, Argentina; Consejo Nacional de Investigaciones Científicas Técnicas, Buenos Aires, Argentina

paolapeltzer@hotmail.com

Resumen

Este estudio evaluó el riesgo alimentario asociado al consumo de sábalos de la cuenca inferior del Río Salado (Santa Fe, Argentina), altamente impactada por actividades agroindustriales. Se reportaron concentraciones elevadas de insecticidas, herbicidas y un fungicida en peces comercializados en puestos artesanales, algunas consideradas entre las más altas mundialmente. A partir de estos datos, se calculó el coeficiente de riesgo alimentario para la población general y vulnerable (habitantes ribereños y pescadores), y para la frecuencia de consumo sugerida (FCS). El riesgo obtenido fue mayor para la población vulnerable y aún más para la FCS. El escenario de riesgo para la salud humana se ve agravado por el potencial carcinogénico de algunos compuestos. Considerando el estado de regulación nacional y las implicancias de los plaguicidas detectados, se destaca la necesidad de revisar las políticas públicas vigentes y de aplicar el principio precautorio en la gestión ambiental y sanitaria del territorio.

Palabras claves: Plaguicidas, Peces, Litoral, Índice de Riesgo.

Abstract

This study evaluated the food safety risk associated with the consumption of sábalo from the lower Salado River basin (Santa Fe, Argentina), which is highly impacted by agroindustrial activities. High concentrations of insecticides, herbicides, and fungicide were reported in fish sold at artisanal fish markets, some considered among the highest in the world. Based on these data, the food safety risk coefficient was calculated for the general and vulnerable populations (riverside residents and fishermen), and for the suggested frequency of consumption (FCS). The risk obtained was higher for the vulnerable population and even higher for the FCS. The risk scenario for human health is aggravated by the carcinogenic potential of some compounds. Considering the state of national regulation and the implications of the pesticides detected, it is important to review current public policies and apply the precautionary principle in environmental and health management in the territory.

Keywords: Pesticies, Fishes, Litoral, Target Hazard Quotient.

Introducción

En Argentina, desde la aparición de los cultivos genéticamente modificados (CGM) en la década de 1990 (particularmente la soja RR), el uso del herbicida glifosato creció exponencialmente aumentando el riesgo ambiental para la vida silvestre y para los seres humanos debido a las exposiciones crónicas (López et al., 2012). En este contexto, los CGM dependen principalmente de este agroquímico, sus formulados y de otros herbicidas (Lajmanovich et al., 2022). Por otra parte, las cuencas fluviales más importantes de América del Sur adyacentes a áreas agrícolas, en especial el rio Paraná, acumulan altas concentraciones de pesticidas en los sedimentos y el agua (Ronco et al., 2016; Etchegoyen et al., 2017; Cuzziol Boccioni et al., 2025). Estos químicos provenientes de las actividades agropecuarias también se bioacumulan en organismos acuáticos como los peces (Abrantes et al., 2010; Fang et al., 2015; Ernst et al., 2018). La persistencia de residuos de plaguicidas en los cuerpos de agua tiene una gran relación con las propiedades fisicoquímicas, pero también de las condiciones climáticas y los niveles hidrológicos. Asimismo, se ha demostrado el aumento de las concentraciones de estos compuestos en aguas y sedimentos en el tramo inferior de los ríos y que los escurrimientos de agroquímicos, desde las áreas agrícolas, aumentan durante la estación seca (Kishimba et al., 2004).

El tramo inferior del río Salado (afluente del río Paraná) en la provincia de Santa Fe-Argentina, atraviesa regiones con diferentes usos del suelo y recibe efluentes de desechos agrícolas, industriales y domésticos. La agricultura es la principal actividad productiva del territorio y está dominada por CGM de soja, maíz, trigo y girasol. En este contexto, una investigación reciente detectó treinta (30) biocidas en muestras de agua y sedimentos del río Salado Inferior, principalmente glifosato con concentraciones más altas en cercanías de la ciudad de Santo Tomé (Peluso et al., 2022). Por otra parte, la presencia de plaguicidas en peces en la cuenca del río Salado no está bien documentada. Sin embargo, hay registros de residuos de plaguicidas en peces de otras regiones agrícolas ribereñas del país (Fantón et al., 2021; Brodeur et al., 2017; 2021).

El sábalo, Prochilodus lineatus (Valenciennes, 1847) es un pez nativo Neotropical de amplia distribución compartida por Argentina, Brasil, Bolivia, Paraguay y Uruguay. En Argentina, este pez se encuentra en los ríos Paraná, Paraguay, Uruguay y río de la Plata, que con sus afluentes forman la Cuenca del Plata. También, se distribuye en los ríos Bermejo y Juramento en Salta, en el río Pilcomayo en Formosa y en las cuencas del río Salí en Tucumán y del río Dulce en Santiago del Estero. Esta especie resulta de extrema relevancia desde el punto de vista ecológico para mantener las poblaciones del resto de ictiofauna, ya que sus larvas sirven de alimento para otras especies ictícolas (Bonetto et al., 1971). Además, este pez realiza largas migraciones y representa un importante recurso para la pesca comercial y de subsistencia de las poblaciones ribereñas, principalmente de la región Litoral (Iwaszkiw y Firpo Lacoste, 2011).

La Cuenca del Plata ha sufrido transformaciones profundas durante el último siglo, experimentando megaproyectos energéticos, redes de carreteras mal planificadas y vías fluviales reguladas sólo para fines comerciales con consecuencias ambientales negativas, fundamentalmente sobre los recursos pesqueros (Baigún y Oldani, 2013). Asimismo, la sobrepesca, el pastoreo excesivo en las llanuras aluviales, la deforestación, los incendios y la falta general de gestión integrada de los humedales también han provocado una degradación generalizada y la pérdida de ecosistemas y sus recursos vitales (Zarrilli, 2013; Peltzer et al., 2023). Particularmente las comunidades que viven en zonas costeras o ribereñas de los grandes ríos de la Cuenca del Plata son vulnerables a la pobreza, a la malnutrición y la pesca de subsistencia les ofrece oportunidades como su único medio de vida, para aliviar el hambre, mejorar su nutrición, y reducir la pobreza y la inseguridad alimentaria (FAO, 2022). Por estos motivos, la constante contaminación que produce la agroindustria, en especial de agroquímicos, sobre estos bienes comunes que brinda la naturaleza, es un flagrante atentado para la subsistencia digna de estas poblaciones humanas.

Las poblaciones ribereñas se encuentran potencialmente expuestas a diversos contaminantes carcinogénicos, perturbadores del sistema nervioso y endocrino por el consumo de sábalos contaminados (Volpedo et al., 2017). Por ejemplo, en sábalos se han detectado residuos de metaloides y metales pesados (arsénico, cadmio, cobre, manganeso, níquel, plomo y zinc; Colombo et al., 2000; Lombardi et al., 2010; Swinkels et al., 2014; Schenone et al., 2014). Un estudio realizado en las áreas de captura de mayor importancia comercial para esta especie en la Cuenca del Plata (que no incluyó la cuenca del rio Salado en Santa Fe) también analizó la presencia de otros metales (plata, cromo, mercurio, selenio, uranio y vanadio) determinando que no presentaban riesgo toxicológico para la población general y para los pescadores (Avigliano et al., 2019). Sin embargo, para el caso del plomo en el músculo de peces capturados en la provincia de Buenos Aires, las concentraciones superaron los valores permisibles para su consumo (Llamazares Vegh et al., 2021). Por otra parte, Lenardón y Enrique (1998) en un muestreo estacional en el río Paraná medio y en la laguna Setúbal (ciudad de Santa Fe Capital) detectaron en tejidos grasos de sábalos, plaguicidas organoclorados (heptacloro, clordano, dieldrín y DDT). En el mismo sentido, Colombo et al. (2000; 2011) y Speranza et al. (2016) reportaron concentraciones de bifenilos policlorados (PCBs) en sábalos de gran parte de la cuenca del Plata (desde la provincia de Corrientes hasta el río Uruguay y el río Arapey). Asimismo, estos autores, brindaron para estos peces información sobre la presencia de residuos de otros tipos de contaminantes orgánicos en especial plaguicidas organoclorados y organofosforados y compuestos de origen industrial (dioxinas, furanos, detergentes e hidrocarburos alifáticos).

En este contexto, el presente estudio analiza los datos publicados por Lajmanovich et al. (2023) sobre la presencia de residuos de plaguicidas en músculo de sábalos provenientes de la cuenca inferior del río Salado (Santa Fe, Argentina), con el objetivo de evaluar el riesgo alimentario derivado de su consumo mediante el cálculo del coeficiente de riesgo THQ (Target Hazard Quotient) para la población general y para grupos vulnerables representados por pescadores artesanales y habitantes ribereños, así como para la frecuencia de consumo sugerida por el Ministerio de Salud de la Nación Argentina (MSNA). El estudio también expone la clasificación de los compuestos detectados para la salud humana y su marco regulatorio nacional vigente para aportar información clave sobre los riesgos asociados a la ingesta de peces contaminados con múltiples residuos de plaguicidas, especialmente en las poblaciones ribereñas del litoral santafesino, donde el sábalo constituye un recurso alimentario fundamental.

Materiales y Métodos

En sucesivos y continuos monitoreos por investigadores de la Universidad Nacional del Litoral (liderados por integrantes del Laboratorio de Ecotoxicología) se detectó la presencia de plaguicidas en tejidos de sábalos en la cuenca inferior del rio Salado durante el verano de 2021-2022 (Lajmanovich et al., 2023). El período estudiado coincidió con una bajante histórica del nivel de este río y también con una de las sequías más importante de los últimos 70 años. Se obtuvieron muestras de músculo de peces adultos (N = 16) provenientes de este río en cuatro sitios cercanos a las ciudades de San Justo, Esperanza y Santa Fe y Santo Tomé (Fig. 1). Es importante destacar que los pescados se encontraban a la venta al público en puestos de pescadores.

Para cada residuo detectado, se evaluaron: la Ingesta diaria aceptable (IDA) (mg kg1 de peso corporal día-1), correspondiente a la cantidad máxima del residuo de pesticida que se puede consumir diariamente de forma segura, a lo largo de toda la vida, sin riesgo para la salud; y la Dosis de Referencia Aguda (DRfA, mg kg-1 de peso corporal), como la cantidad estimada del residuo que puede ser ingerida en un día o una sola comida sin causar efectos adversos para la salud del consumidor. Se definió también el estado de regulación argentina de cada compuesto detectado según el Servicio Nacional de Sanidad y Calidad Agroalimentaria (SENASA, 2010), y la categorización para el riesgo carcinogénico según la Agencia Internacional de Investigación de Cáncer (IARC, 2015) Organización Mundial de la Salud (WHO) y la Agencia de Protección Ambiental de los Estados Unidos (USEPA, 1986; 2005).

Además, para estimar el riesgo alimentario por consumo de sábalos, se calculó el índice o coeficiente de riesgo THQ (del término en inglés Target Hazard Quotient; USEPA, 2015). El índice THQ (1) fue calculado para cada residuo detectado en cada sitio de estudio, para la población general y en la población local vulnerable representadas en general por pescadores artesanales y habitantes ribereños.

(1)

Siendo FE: la frecuencia de exposición; DE: la duración de la exposición (70 años según USEPA, 1991); Ti: la tasa de ingesta por día por persona (400 g persona-1día-1), C: la concentración máxima de los residuos detectados en músculo de pescado (mg kg-1 de peso húmedo); RfD: la dosis de referencia oral de cada residuo detectado (mg kg-1día-1; USEPA, 2024). Pp: el peso promedio de una persona adulta (65 kg para un adulto argentino; Del Pino et al., 2005); TE: el tiempo de exposición promedio (365 días año-1, 70 años).

Dado que la FE de la población general y los pescadores puede diferir, los riesgos para ambos grupos poblacionales fueron evaluados por separado (Garnero et al., 2020). Además, cabe destacar que diversos organismos de Salud y Nutrición a nivel nacional e internacional (por ejemplo, el MSNA y el Comité de Nutrición de la Asociación Americana del Corazón) recomiendan una frecuencia de consumo aún más elevada de pescado, lo que podría conllevar riesgos adicionales que es importante considerar (Fallah et al., 2011; Arias, 2024). Para la población general, se consideró una frecuencia de exposición de 1 día al año (Avigliano et al., 2016); para los pescadores, se utilizó una frecuencia de exposición de 52 días al año (una vez por semana; Ciappini et al., 2020) mientras que la frecuencia de exposición recomendada, se aplicó el valor de 104 días por año según el MSNA (equivalente a dos veces por semana; Ministerio de Salud, 2020).

Los THQ de cada residuo fue representado como el rango de valores en los distintos sitios, para cada grupo poblacional y la frecuencia de consumo sugerida. El cálculo del THQ total (2) de cada caso consistió en la suma de los THQ individuales de cada elemento (i) en todos los sitios:

(2)

Al integrar el análisis de múltiples residuos, valores de THQ > 0.1 fueron considerados como potencial riesgo para la salud (USEPA, 2024; Otachi et al., 2014).

Fig. 1: Mapa de sitios de muestreo y puestos de ventas de pescadores artesanales de las zonas ribereñas de Santa Fe.

Resultados

Los resultados analíticos obtenidos por Lajmanovich et al. (2023) revelaron que en todos los sitios estudiados sobre el río Salado los sábalos (100 %) presentaban residuos de agrotóxicos. Se registraron un total de nueve plaguicidas en músculo, principalmente herbicidas (organofosforados, cloroacetamidas y triazinas), insecticidas (piretroides y organofosforados) y un fungicida (estrobilurinas). Como se observa en la Tabla 1, los pescados mostraron concentraciones muy elevadas de estos agroquímicos. Los tres insecticidas detectados, así como el glufosinato de amonio y AMPA, superan los valores de IDA y DRfA (Tabla 1). Además, tres de los compuestos hallados corresponden a alguna categoría de riesgo carcinogénico relevante: cipermetrina y metolacloro (grupo C, potencialmente carcinogénico), y glifosato (Grupo 2 A: probablemente carcinogénico)

Compuesto

Media (y máxima) detectada

µg kg-1 de músculo (*)

IDA

mg kg-1 dia-1

DRfA

mg kg-1

Fuente de

IDA y DRfA

Regulación

Argentina

Categorización

del riesgo carcinogénico

Insecticidas

Cipermetrina

21,69±55,63 (204)

0,005 (EU)

0,005 (EU)

Reg. (EU) 2021/2049

Aprobada

Grupo C: Potencialmente carcinogénico

Clorpirifos

7,46±14,89 (54)

0,001

0,005

PPDB

(Lewis, 2016)

No aprobada

Grupo E:

Evidencia de no carcinogenicidad

Lambda-cihalotrina

5,77±14,98 (55)

0,0025 (EU)

0,005 (EU)

Reg. (EU) 2016/146

Aprobada

Grupo D: No clasificable como carcinogénico

Herbicidas

Metolacloro

3,07±11,09 (40)

0,1

SD

PPDB

(Lewis, 2016)

Aprobada

Grupo C:

Posiblemente carcinogénico

Prometrina

7,69±17,47 (60)

0,01

SD

PPDB

(Lewis, 2016)

Aprobada

Grupo E:

Evidencia de no carcinogenicidad

Glifosato

25,23±50,83 (187)

0,5 (EU)

0,5 (EU)

Reg. (EU) 2017/2324

Aprobada

Grupo 2A: Probablemente carcinogénico

0,1 (JMPR)

No necesario

JMPR

(2011; 2016)

AMPA

1.019,7±727,8 (3116)

0,1

SD

Glufosinato de amonio

68,31±186,68 (677)

0,021 (EU)

0,021 (EU)

Dir 07/25

Aprobada

Probablemente no carcinogénico

Fungicida

Piraclostrobina

13,53±16,17 (42)

0,03 (EU)

0,03 (EU)

04/30/EC

Aprobada

Probablemente no carcinogénico

Regulaciones Argentinas definidas por SENASA 934/10 y 559/11 (SENASA 2010); JMPR: Joint FAO/Who Meeting on Pesticide Residues (EFSA, 2021). Categorizaciones del riesgo carcinogénico definidas por la USEPA (1986; 2005; 2024) e IARC (2015).

Tabla 1. Media y desvío estándar (y máximo valor detectado entre paréntesis) de residuos de plaguicidas en músculo de sábalos en el tramo inferior del Río Salado (*Lajmanovich et al. 2023); Ingesta diaria aceptable (IDA) (mg kg-1 de peso corporal día-1), Dosis de Referencia Aguda (DRfA, mg kg-1 de peso corporal), estado de regulación argentina de cada compuesto detectado y categorización del riesgo carcinogénico para los humanos.

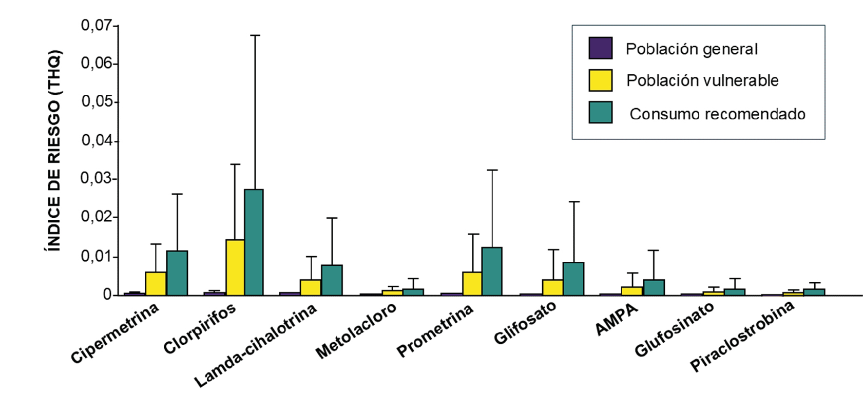
Por su parte, el análisis del THQ mostró gran variabilidad para cada residuo individualmente. El insecticida clorpirifos y el herbicida prometrina no sólo alcanzaron los mayores valores del índice de riesgo individual, también mostraron mayor variabilidad entre sitios muestreados para ambas poblaciones y el consumo recomendado (Fig. 2). La cipermetrina, lamda-cihalotrina y el glifosato también fueron elevados, aunque con menor diferencia entre sitios. Por su parte, el metolacloro, glufosinato y piraclostrobina fueron los residuos con menor valor de THQ individual.

Los valores de THQ en la población general oscilaron entre 2×10-4 y 1,7×10-2 en los distintos sitios, mientras que el THQ total del grupo fue de 1,9×10-2. Para el grupo vulnerable representado por las poblaciones ribereñas, los THQ de cada sitio variaron entre 1,4×10-2 y 8,4 ×10-2, mientras que el THQ total del grupo fue de 0,15, superando el umbral de potencial de riesgo (Fig. 3). El índice de riesgo obtenido para la frecuencia de consumo recomendada fue mucho mayor que para los dos grupos poblacionales, alcanzando un valor de 0,31 en total

Fig. 2. Rango del índice de riesgo (THQ) de cada residuo detectado en sábalos del Río Salado en los distintos sitios de muestreo (San Justo, Esperanza, Santa Fe y Santo Tomé), para la población general y vulnerable, y para la frecuencia de consumo recomendada.

Fig. 3. Índice de riesgo alimentario (THQ) del consumo de Sábalos del Río Salado por sitio (San Justo: S1; Esperanza: S2; Santa Fe: S3; Santo Tomé: S4) y Total (suma de los THQ de todos los sitios) para la población general y vulnerable, y para la frecuencia de consumo recomendable. Valores de THQ > 0,1 (en rojo) representan potencial riesgo para la salud (según USEPA, 2024).

Discusión

Debido a las reiteradas mortandades de peces (en especial sábalos) que históricamente se producen en la cuenca del río Salado, en la provincia de Santa Fe, la Procuración General de la Corte Suprema de Justicia provincial dispuso evaluar la presencia de agroquímicos. Como resultado, se reportaron concentraciones de 20 (±10) μg kg-1 del herbicida 2,4-D y un máximo de 80 (±40) μg kg-1 del insecticida organofosforado clorpirifos (Lajmanovich et al., 2021). El herbicida 2,4-D junto con el glifosato y la atrazina son los agroquímicos más empleados en el país. Se utilizan principalmente en la fase previa a la siembra de soja y maíz transgénicos. Además, el 2,4-D por sus efectos tóxicos y genotóxicos en peces, se puede clasificar como una sustancia muy nociva para los organismos acuáticos (categoría III). Ambos agrotóxicos se encuentran prohibidos, el 2,4D desde el año 2015 por resolución N°135 del Ministerio de la Producción se Santa Fe y el clorpirifos para todo el país por las resoluciones 414 y 415 publicadas en el Boletín Oficial en 2021.

Según SENASA y FAO-OMS los Límites Máximos de Residuos (LMR) establecidos para tejidos de especies animales oscilan entre 10 y 100 μg kg-1, sin embrago los niveles de plaguicidas encontrados por Lajmanovich et al. (2023) en los sábalos del río Salado superan ampliamente estos valores en varios casos, así como los de Ingesta Diaria Aceptable (IDA) (Tabla 1). La presencia ubicua del glifosato y AMPA en los tejidos de peces de toda la cuenca estudiada y su elevado índice de riesgo a comparación de otros residuos, plantean un panorama amenazador para la salud de las poblaciones humanas ribereñas y de todo el ecosistema. En este sentido, se requiere la máxima atención respecto al riesgo dietario, además del potencial efecto carcinogénico establecido para este compuesto por el IARC (2015). El caso del herbicida glufosinato es también muy llamativo ya que el nivel máximo encontrado supera ampliamente la IDA y puede representar un alto riesgo de exposición aguda y crónica, especialmente cuando se considera los estratos etéreos menores de la población y las mujeres embarazadas (Lajmanovich et al., 2023; 2024, Rodriguez et al., 2025). Además de identificar los principales compuestos que contribuyen al riesgo y su variabilidad, es importante considerar que las poblaciones en entornos reales no están expuestas a estas sustancias de forma aislada. Tal como lo demostraron Alaoui et al. (2024), las poblaciones se enfrentan a una compleja y dinámica mezcla de múltiples residuos químicos simultáneamente, por lo que es fundamental contemplar también el riesgo acumulativo total al que están expuestos los individuos.

El análisis del THQ mostró un valor considerablemente más alto para la población vulnerable a comparación de la población general, y aún mayor para la frecuencia de consumo recomendado. Este índice ampliamente utilizado para relacionar la exposición a los contaminantes y su probabilidad de producir efectos adversos resultó superior al umbral de 0,1 propuesto por la EPA (2024) como potencial riesgo para la salud, en la población vulnerable y para la frecuencia de consumo sugerida por el MSNA. Esta observación sugiere que los habitantes de las zonas costeras enfrentan una mayor amenaza potencial para la salud por el consumo de sábalos del Río Salado contaminados con múltiples residuos dado por la mayor frecuencia de consumo que la población general. En concordancia, otros estudios también han sugerido que la probabilidad de riesgo para la salud por consumo de especies ictícolas contaminadas puede variar regionalmente y según los hábitos culturales, considerando a las subpoblaciones con mayor frecuencia de consumo de este tipo de alimento como los sectores más vulnerables (Garnero et al., 2020). Hay estudios que reportan que las frecuencias de consumo, y por lo tanto de exposición, pueden asemejarse a la frecuencia de consumo sugerida de dos veces por semana, que ha demostrado un riesgo mucho más elevado- (Flores Monter y Crespo Guerrero, 2023). Algunos estudios incluso consideran la frecuencia de consumo diaria para pescadores y habitantes costeros (Díaz Cano et al., 2020; Dias et al., 2023). Además, es esencial contemplar en la estimación de riesgo por el consumo de pescados, los factores adicionales de exposición como los metales pesados previamente descriptos en otros estudios de la región (Volpedo et al., 2017; Avigliano et al., 2019).

De acuerdo con la literatura científica disponible, las concentraciones de herbicidas polares detectadas en el músculo de sábalos del río Salado encuentran entre las más altas registradas a nivel mundial (Lajmanovich et al., 2023). Estos hallazgos representan un caso de contaminación multiresidual en peces de consumo humano frecuente y revelan una exposición sostenida a compuestos agroquímicos con potencial toxicidad. En este sentido, la USEPA ha establecido directrices para la evaluación del riesgo de mezclas químicas en escenarios de exposición real, reconociendo que los efectos aditivos o sinérgicos pueden incrementar el riesgo carcinogénico más allá del análisis de los componentes individuales (USEPA, 2005). Sumado a esto, la detección en sábalos de mezclas de plaguicidas, algunos de los cuales están clasificados como posibles o probables carcinógenos, resalta la necesidad de evaluar de manera específica el riesgo cancerígeno asociado al consumo crónico de estos peces contaminados en las comunidades ribereñas.

Conclusión

El presente estudio revela que las altas concentraciones de plaguicidas (insecticidas, herbicidas y fungicida) encontradas en el músculo de sábalos del Río Salado representan un riesgo alimentario significativo para la salud humana, particularmente para las comunidades ribereñas vulnerables que dependen de estos peces como fuente principal de alimento. La evaluación del coeficiente THQ resultó en un riesgo mayor para estas poblaciones y para la frecuencia de consumo sugerida en comparación con la población general, debido a su mayor frecuencia de consumo y la exposición a estos múltiples residuos. Además, las concentraciones de plaguicidas halladas superan ampliamente los Límites Máximos de Residuos y los valores de Ingesta Diaria Aceptable, incluyendo compuestos clasificados como posibles o probables carcinogénicos, lo que genera preocupación por la exposición aguda y crónica, especialmente en grupos sensibles como infantes y mujeres embarazadas agravados por el escenario de alta presión agroindustrial y desigualdad estructural en el acceso a alimentos seguros. Estos hallazgos exigen revisar con urgencia las políticas públicas y aplicar de forma efectiva el principio precautorio para proteger la salud comunitaria y los ecosistemas fluviales.

Agradecimientos

Este estudio fue parcialmente financiado por la Agencia Nacional de Promoción de Ciencia y Tecnología (ANPCyT FONCyT PICT, 2021 Nº 419) y CONICET (PIP 2021 N° 037).

Referencias

Abrantes, N., Pereira, R. y Gonçalves, F. (2010). Occurrence of Pesticides in Water, Sediments, and Fish Tissues in a Lake Surrounded by Agricultural Lands: Concerning Risks to Humans and Ecological Receptors. Water Air Soil and Pollution, 212, 77–88.

Alaoui, A., Christ, F., Silva, V., Vested, A., Schlünssen, V., González, N., Gai, L., Abrantes, N., Baldi, I., Bureau, M., Harkes, P., Norgaad, T., Navarro, I., de la Torre, A., Sanz, P., Martínez, M. Hofman, J., Paskovic, I.,Glavan, M., & Geissen, V. (2024). Identifying pesticides of high concern for ecosystem, plant, animal, and human health: A comprehensive field study across Europe and Argentina. Science of the Total Environment, 948, 174671.

Arias, A. M. (2024). Consumo de pescado de río en los habitantes de la ciudad de Rosario que asisten al Centro Municipal Distrito Norte Villa Hortensia. Tesis para optar por el título de Licenciada en Nutrición. Universidad Abierta Interamericana, Rosario.

Avigliano, E., Lozano, C., Plá, R.R. y Volpedo, A.V. (2016). Toxic element determination in fish from Paraná River Delta (Argentina) by neutron activation analysis: tissue distribution and accumulation and health risk assessment by direct consumption. Journal of Food Composition and Analysis, 54, 27e36.

Avigliano, E., Monferrán, M.V., Sánchez, S., Wunderlin, D.A., Gastaminza, J. y Volpedo, A.V. (2019). Distribution and bioaccumulation of 12 trace elements in water, sediment and tissues of the main fishery from different environments of the La Plata basin (South America): Risk assessment for human consumption. Chemosphere, 236, 124394.

Baigún C. y Oldani N. (2013). Impactos ecológicos de represas en ríos de la porción inferior de la cuenca del Plata: escenarios aplicados a los recursos pesqueros. En: J. Baigún, C., Minotti, P., y Oldani, N. Assessment of sábalo (Prochilodus lineatus) fisheries in the lower Paraná River basin (Argentina) based on hydrological, biological, and fishery indicators. Neotropical Ichthyology, 11, 199-210.

Bonetto, A. A., Pignalberi, C., Cordiviola de Yuan, E. y Oliveros, O. (1971). Información complementaria sobre migraciones de peces en la cuenca del Plata. Physis, 30, 505–520.

Brodeur, J. C., Poletta, G. L., Simoniello, M. F., Carriquiriborde, P., Cristos, D. S., Pautasso, N., Paravani, E., Poliserpi, M.B., D’Andrea, M. F., Gonzalez, P. V., Aca, V. L., y Curto, A. E. (2021). The problem with implementing fish farms in agricultural regions: A trial in a pampean pond highlights potential risks to both human and fish health. Chemosphere, 262, 128408.

Brodeur, J. C., Sanchez, M., Castro, L., Rojas, D. E., Cristos, D., Damonte, M. J., Poliserpi. M. B., D’Andrea, M. F., y Andriulo, A. E. (2017) Accumulation of current-use pesticides, cholinesterase inhibition and reduced body condition in juvenile one-sided livebearer fish (Jenynsia multidentata) from the agricultural Pampa region of Argentina. Chemosphere. 185, 36-46.

Ciappini, D., Cristina, M., Gatti, I., Bernardita, A. M., Cabreriso, M., Soledad, M., y Piazza, N. (2020). Comparación de consumo de pescado de río en ciudades costeras al río Paraná: Rosario y conglomerado Corrientes-Resistencia. Diaeta, 38(173), 28-37.

Colombo, J. C., Bilos, C., Lenicov, M. R., Colautti, D., Landoni, P. y Brochu, C. (2000). Detritivorous fish contamination in the Río de la Plata estuary: a critical accumulation pathway in the cycle of anthropogenic compounds. Canadian Journal of Fisheries and Aquatic Sciences, 57(6), 1139-1150.

Colombo, J. C., Cappelletti, N., Williamson, M., Migoya, M. C., Speranza, E., Sericano, J. y Muir, D. C. (2011). Risk ranking of multiple-POPs in detritivorous fish from the Río de la Plata. Chemosphere, 83(6), 882-889.

Cuzziol Boccioni, A. P., Lajmanovich, R. C., Repetti, M. R., Attademo, A. M., Zalazar, C. S., Manassero, A., Russell-White, K., Lancelle, M. V., Muchiutti, A., Leon, E. J. y Peltzer, P. M. (2025). Ecotoxicological impact of agro-industry on streams from a South American basin: Amphibian tadpoles as indicators of environmental health. Water and Environmental Research, 97(6), e70117.

Del Pino, M., Bay, L., Lejarraga, H., Kovalskys, I. y Pino, M. (2005). Peso y estatura de una muestra nacional de 1.971 adolescentes de 10 a 19 años: las referencias argentinas continúan vigentes. Archivo argentino Pediatría, 103, 323e330.

Dias, G. K. S., Siqueira-Souza, F. K., Souza, L. A. Y Freitas, C. E. C. (2023). O consumo de pescado de uma população ribeirinha do baixo rio Solimões, Amazonas, Brasil. Brazilian Journal of Biology, 83, e271572.

Díaz Cano, M., López Barrera, E. A. y Cano, B. M. D. (2020). Metales pesados en nuestra mesa. Bogotá: Universidad Sergio Arboleda. Escuela de Ciencias de la Comunicación.

EFSA- European Food Safety Authority. (2021) Scientific support for preparing an EU position for the 52nd Session of the Codex Committee on Pesticide Residues (CCPR). EFSA Journal, 19(8), 6766.

Ernst, F., Alonso, B., Colazzo, M., Pareja, L., Cesio, V., Pereira, A., Márquez, A., Errico, E., Segura, A.M., Heinzen, H. y Pérez-Parada, A. (2018) Occurrence of pesticide residues in fish from south American rainfed agroecosystems. Science of Total Environment, 631, 169-179.

Etchegoyen, M. A., Ronco, A. E., Almada, P., Abelando, M. y Marino, D.J. (2017) Occurrence and fate of pesticides in the Argentine stretch of the Paraguay-Paraná basin. Environmental Monitoring and Assessment, 189(2), 63.

Fallah, A. A., Saei-dehkordi, S. S., Nematollahi, A. y Jafari, T. (2011) Comparative study of heavy metal and trace element accumulation in edible tissues of farmed and wild rainbow trout (Oncorhynchus mykiss) using ICP-OES technique. The Microchemical Journal, 98, 275–279

Fang, Y., Nie, Z., Yang, Y., Die, Q., Liu, F., He, J. y Huang, Q. (2015). Human health risk assessment of pesticide residues in market-sold vegetables and fish in a northern metropolis of China. Environmental Science and Pollution Research, 22(8), 6135-6143.

Fantón, N., Cazenave, J., Michlig, M.P., Repetti, M.R. y Rossi, A. (2021). Biomarkers of exposure and effect in the armoured catfish Hoplosternum littorale during a rice production cycle. Environmental Pollution, 287, 117356.

FAO- Organización de las Naciones Unidas para la Alimentación y la Agricultura. (2022). “El estado mundial de la pesca y la acuicultura 2022. Hacia la transformación azul”. Roma.

Flores Monter, Y. M., y Crespo Guerrero, J. M. (2023). Hábitos de consumo y valor nutricional de los recursos marinos entre los pescadores de Yucatán, México. Investigaciones geográficas, 110, e60690.

Garnero, P. L., Bistoni, M. D. L. A. y Monferran, M. V. (2020). Trace element concentrations in six fish species from freshwater lentic environments and evaluation of possible health risks according to international standards of consumption. Environmental Science and Pollution Research, 27, 27598-27608.

IARC- International Agency for Research on Cancer. (2015). Some organophosphate insecticides and herbicides. Volume 112. IARC Monographs on the Evaluation of Carcinogenic Risks to Humans. WHO Press, Lyon.

Iwaszkiw, J.M. y Firpo Lacoste, F. (2011). La pesca artesanal en la Cuenca del Plata (Argentina) y sus implicancias en la conservación de la biodiversidad. Revista del Museo Argentino de Ciencias Naturales, 13(1), 21-25.

Kishimba, M. A., Henry, L., Mwevura, H., Mmochi, A. J., Mihale, M. y Hellar, H. (2004) The status of pesticide pollution in Tanzania. Talanta, 64, 48–53.

Lajmanovich, R. C., Peltzer, P. M. y Attademo, A. M. (2021) “Informe para la Procuración General de la Corte Suprema de Justicia de Santa Fe sobre la mortandad de peces en el rio salado noviembre-diciembre 2020.” Disponible en: https://agenciatierraviva.com.ar/wp-content/uploads/2021/01/Informe-Procuracion-UNL-mortandad-peces-enero-2020.pdf

Lajmanovich, R. C., Peltzer, P.M. y Attademo, A.M. (2022). Veintidós años de extractivismo basado en cultivos genéticamente modificados: los anfibios como indicadores ambientales de contaminación. En Folguera, G. (Ed.) Modelo agroindustrial argentino: miradas plurales de un pensar colectivo (pp. 93-115). EUDEBA, Buenos Aires.

Lajmanovich, R. C., Repetti, M. R., Cuzziol Boccioni, A. P., Michlig, M. P., Demonte, L., Attademo, A. M. y Peltzer, P. M. (2023). Pesticide residue cocktails in Salt River fish Prochilodus lineatus (South America): First record of high concentrations of polar herbicides. Science of Total Environment, 870, 162019.

Lajmanovich, R. C., Repetti, M. R., Cuzziol Boccioni, A. P., Attademo, A. M., Michlig, M. P. y Demonte, L. (2024). “Llegó el tan anunciado “derrame”: Récords mundiales de concentraciones de herbicidas glifosato y glufosinato de amonio en peces del río Salado (Santa Fe, Argentina).” En: M. D. Jáger, L. Aguilar y D. Olemberg (Comps). Impedimentos concretos a la implementación de un modelo agroecológico de producción (pp. 38-43). La Matanza: Universidad Nacional de La Matanza. Disponible en: http://repositoriocyt.unlam.edu.ar/handle/123456789/2135

Lenardón, A. y Enrique, S. (1998). Insecticidas organoclorados en el río Paraná. Natura Neotropicalis, 29(2), 111–116.

Lewis, K.A., Tzilivakis, J., Warner, D. y Green, A. (2016). An international database for pesticide risk assessments and management. Human and Ecological Risk Assessment: An International Journal, 22(4), 1050-1064.

Llamazares Vegh, S., Avigliano, E., Thompson, G. A. y Volpedo, A. V. (2021) Elementos traza en peces comerciales de Argentina. Investigación Veterinaria, 23(1), 1-15.

Lombardi, P.E., Peri, S. I., y Verrengia Guerrero, N. R. (2010). Trace levels in Prochilodus lineatus collected from the La Plata River, Argentina. Environmental Monitoring and Assessment, 160, 47-59.

López, S. L., Aiassa, D., Benítez-Leitec, S., Lajmanovich, R. C., Mañas, F., Poletta, G., Sánchez, N., Simoniello, M. F. y Carrasco, A. E. (2012). Pesticides used in South American GMO-based agriculture: a review of their effects on humans and animal models. Advances in Molecular Toxicology, 6, 41-75.

Ministerio de Salud de la Nación (2020). Guías Alimentarias para la Población Argentina, Buenos Aires 2020. Disponible en: https://bancos.salud.gob.ar/recurso/guias-alimentarias-para-la-poblacion-argentina

Otachi, E. O., Körner, W., Avenant-Oldewage, A., Fellner-Frank, C. y Jirsa, F. (2014). Trace elements in sediments, blue spotted tilapia Oreochromis leucostictus (Trewavas, 1933) and its parasite Contracaecum multipapillatum from Lake Naivasha, Kenya, including a comprehensive health risk analysis. Environmental Science and Pollution Research, 21, 7339-7349.

Peltzer, P. M., Cuzziol Boccioni, A. P., Lorenzon, R. E., Bortoluzzi, A., Peña, N., Attademo, A. M., Bassó, A., León, E. J., Beltzer, A. H. y Lajmanovich, R. C. (2023). Effects of man-made fires on wetlands of the Paraná river in Argentina: perspectives of ecological restoration. Oecologia Australis, 27(4), 344-357.

Peluso, J., Aronzon, C. M., Martíınez Chehda, A., Cuzziol Boccioni, A. P., Peltzer, P.M., De Geronimo, E., Aparicio, V., Gonzalez, F., Valenzuela, L. y Lajmanovich, R.C. (2022). Environmental quality and ecotoxicity of sediments from the lower Salado River basin (Santa Fe, Argentina) on amphibian larvae. Aquatic Toxicology, 253, 106342.

PPDB- Pesticide Properties DataBase (2022). Pesticide Properties DataBase. United Kingdom: University of Hertfordshire. Disponible en: http://sitem.herts.ac.uk/aeru/ppdb/

Rodriguez, P. M., Vera, B., Burgos, C., Gimenez, G., Miglioranza, K. S., Ramirez, C. L., & Guiñazú, N. L. (2025). Expression of carboxylesterase and paraoxonase in the placenta and their association with chlorpyrifos exposure during pregnancy. Ecotoxicology and Environmental Safety, 298, 118285.

Ronco, A. E., Marino, D. J., Abelando, M., Almada, P. y Apartin, C. D. (2016). Water quality of the main tributaries of the Paraná Basin: glyphosate and AMPA in surface water and bottom sediments. Environmental Monitoring and Assessment, 188(8), 458.

Schenone, N. F., Avigliano, E., Goessler, W. y Cirelli, A. F. (2014). Toxic metals, trace and major elements determined by ICPMS in tissues of Parapimelodus valenciennis and Prochilodus lineatus from Chascomus Lake, Argentina. Microchemical Journal, 112, 127-131.

SENASA- Servicio Nacional de Sanidad y Calidad Agroalimentaria (2010). National Food Safety and Quality Service. Resolution N° 934, maximum residues limits for agricultural products. Disponible en: http://www.senasa.gob.ar/resolucion-9342010-productos-agropecuarios

Speranza, E. D., Colombo, M., Tatone, L. M., Cappelletti, N., Migoya, M. C. y Colombo, J. C. (2016). Fatty acid alterations in the detritivorous Prochilodus lineatus promoted by opportunistic feeding on sewage discharges in the Río de la Plata estuary. Journal of Fish Biology, 89(4), 2024-2037.

Swinkels, L. H., Van de Ven, M. W. P. M., Stassen, M. J. M., Van der Velde, G., Lenders, H. J. R. y Smolders, A. J. P. (2014). Suspended sediment causes annual acute fish mortality in the Pilcomayo River (Bolivia). Hydrological Processes, 28(1), 8-15.

USEPA- United States Environmental Protection Agency (1986). Guidelines for Carcinogen Risk Assessment. 51 FR 33992-34003. Washington, DC.

USEPA- United States Environmental Protection Agency (1991). Technical Support Document for Water Quality-Based Toxics Control. Washington, DC.

USEPA- United States Environmental Protection Agency. (2005). Guidelines for Carcinogen Risk Assessment. EPA/630/P-03/001B. Washington, DC.

USEPA- United States Environmental Protection Agency (2015) Conducting an Environmental Risk Assessment. Washington, DC.

USEPA- United States Environmental Protection Agency (2024). Regional Screening Levels (RSLs) - Generic Tables. Washington, DC.

Volpedo, A.V., Rabuffetti, A.P., Llorente, C., et al. (2017). Evaluación de riesgos toxicológicos en población humana, por consumo de sábalo. Red de seguridad alimentaria del CONICET (RSA-CONICET). Disponible en: https://www.researchgate.net/publica-tion/319904167

Zarrilli, A. (2013). The La Plata Basin: Rivers, Plains, and Societies in the Southern Cone. RCC Perspectives, 7, 41-47.

 

Contribución de los Autores

Autores

Colaboración académica

1

2

3

4

5

6

7

8

9

10

11

12

13

Ana Paula Cuzziol Boccioni

X

X

X

X

X

X

X

X

Rafael Carlos Lajmanovich

X

X

X

X

X

X

X

X

X

María Rosa Repetti

X

X

X

X

Andrés Maximilano Attademo

X

X

X

X

Paola Mariela Peltzer

X

X

X

X

X

X

X

1-Administración del proyecto, 2-Adquisición de fondos, 3-Análisis formal, 4-Conceptualización, 5-Escritura - revisión y edición, 6-Investigación, 7-Metodología, 8-Recursos, 9-Redacción - borrador original, 10-Software, 11-Supervisión, 12-Validación, 13-Visualización.