Revista Tecnología y Ciencia - Universidad Tecnológica Nacional

Año 23 - Número 54 / Sep - Dic. 2025

DOI:https://doi.org/10.33414/rtyc.54.20-36.2025

ISSN 1666-6933

Reconocimiento-NoComercial 4.0 Internacional

Demanda flexional en columnas: comparación entre INPRES-CIRSOC 103 y ACI 318 en estructuras dúctiles

Bending Moment Demand in Columns: Comparison Between INPRES-CIRSOC 103 and ACI 318 for Ductile RC Frames

Presentación: 28/06/2025

Aprobación: 17/09/2025

Publicación: 29/09/2025

Cristian O. Bay

https://orcid.org/0000-0003-3338-5800

Universidad Tecnológica Nacional, Argentina.

cbay@frsr.utn.edu.ar

Gustavo A. Palazzo

https://orcid.org/0009-0006-6327-967X

Universidad Tecnológica Nacional, Argentina.

gpalazzo@frm.utn.edu.ar

Ricardo D. Bassotti

https://orcid.org/0000-0002-3503-9066

Universidad Tecnológica Nacional, Argentina.

rbassotti@frsr.utn.edu.ar

Resumen

Este estudio compara la demanda flexional en columnas según las normas INPRES-CIRSOC 103 y ACI 318, evaluando su impacto en el diseño estructural sismorresistente. Mientras que el ACI 318 emplea un enfoque simplificado, el INPRES-CIRSOC 103 introduce factores como la amplificación dinámica y la reducción de momentos en columnas, permitiendo una estimación más precisa, pero con mayor complejidad computacional.

A través de un estudio paramétrico en edificios de 4, 6 y 8 niveles, se identificó que el ACI 318 puede subestimar la demanda en columnas, comprometiendo la jerarquía de resistencias. En contraste, el INPRES-CIRSOC 103 proporciona valores más elevados de ηc, mejorando la seguridad estructural.

Los resultados sugieren que la elección normativa debe equilibrar precisión y aplicabilidad, considerando el nivel de sismicidad de la región y la facilidad de implementación en el diseño estructural.

Palabras clave: diseño por capacidad, demanda flexional, jerarquía de resistencias, INPRES-CIRSOC 103, ACI 318, estructuras sismorresistentes.

Abstract

This study compares the flexural demand in columns according to the INPRES-CIRSOC 103 and ACI 318 standards, assessing their impact on seismic structural design. While ACI 318 adopts a simplified approach, INPRES-CIRSOC 103 incorporates dynamic amplification and moment reduction factors, allowing for a more precise yet computationally demanding estimation. A parametric analysis of 4-, 6-, and 8-story buildings shows that ACI 318 may underestimate column demand, compromising strength hierarchy. In contrast, INPRES-CIRSOC 103 yields higher ηc values, enhancing structural safety. The results suggest that the selection of design code must balance accuracy and practical applicability based on regional seismicity and design tools.

Keywords: capacity design, flexural demand, strength hierarchy, INPRES-CIRSOC 103, ACI 318, seismic-resistant structures.

Introducción

El diseño sismorresistente de estructuras de hormigón armado se basa en el principio de garantizar mecanismos de falla dúctiles para evitar colapsos catastróficos. Uno de los criterios fundamentales en este tipo de diseño es la aplicación del concepto de "columna fuerte - viga débil", el cual busca que la plastificación ocurra en las vigas antes que, en las columnas, asegurando una disipación de energía controlada.

No obstante, en la práctica, su implementación puede resultar desafiante debido a diversas condiciones de diseño y construcción. En particular, la adecuada jerarquía de resistencias puede verse afectada por factores como la sobrerresistencia flexional de vigas, la interacción losa-viga, la interferencia de rellenos y la redistribución de esfuerzos en situaciones de carga sísmica. La dificultad de aplicar este criterio con precisión ha dado lugar a diferencias en su implementación normativa a nivel internacional, lo que resalta la necesidad de evaluar el impacto de los enfoques adoptados en distintas regulaciones. Entre ellas, se encuentran la norma argentina INPRES-CIRSOC 103 (2021) (en adelante, IC103-II) y la ACI 318 (2019), esta última utilizada como base normativa en la mayoría de los países latinoamericanos.

Uno de los problemas más graves de no respetar la jerarquía de resistencias es la posibilidad de que la plastificación ocurra en las columnas en lugar de en las vigas. A modo ilustrativo, la Figura 1a muestra un colapso por sobre-resistencia del sistema de losas, ocurrido en Turquía entre 1999 y 2011. Asimismo, en China se observaron fallas por un mecanismo de viga fuerte - columna débil en estructuras diseñadas de acuerdo con la normativa vigente (Figura 1b).

En Argentina, la normativa IC103-II, basada en la normativa neozelandesa NZS 3101 (2017), busca establecer un procedimiento detallado para garantizar la capacidad de las columnas y la adecuada disipación de energía en estructuras sismorresistentes. Si bien su enfoque conceptual es claramente definido, su aplicación práctica resulta compleja y poco amigable en términos de automatización computacional, en comparación con otros métodos adoptados por distintas normativas.

Por su parte, la norma ACI 318, adoptada en gran parte de América Latina, emplea un procedimiento más directo para la evaluación de la jerarquía de resistencias en nudos viga-columna, lo que facilita su aplicación en la práctica profesional. No obstante, algunos investigadores han cuestionado su efectividad en el desempeño estructural durante eventos sísmicos severos.

El presente estudio compara la jerarquía de resistencias entre columnas y vigas que concurren al nudo, obtenida a través de la norma IC103-II y la norma ACI 318. A partir del análisis de modelos estructurales con distintas configuraciones y condiciones de carga, se pretende proporcionar un marco más preciso para la selección del método más adecuado, en función de los requerimientos de seguridad estructural y la factibilidad de implementación en la práctica profesional.

Figura 1. Daños en terremotos recientes. Izq. Falla de piso por viga fuerte columna débil. Der. Plastificación de extremos de columnas.

El objetivo principal de este estudio es comparar la demanda flexional de columnas según las normas IC103-II y ACI-318, identificando sus diferencias y evaluando su impacto en el diseño estructural de edificaciones sometidas a cargas sísmicas. Para ello, se desarrolla un estudio paramétrico en edificios de diferentes alturas con el fin de cuantificar el factor de demanda flexional (ηc) en ambas normativas. Los resultados permitirán determinar si la metodología del ACI-318 proporciona una seguridad equivalente a la del IC103-II y qué consideraciones deben tenerse en cuenta para la correcta aplicación de cada método.

Además, este trabajo busca vincular los valores de ηc con el riesgo estructural asociado, analizando en qué medida las diferencias normativas impactan en la seguridad de las edificaciones según la categoría del sismo considerado y el tipo de uso de la estructura. De este modo, el estudio pretende no solo comparar procedimientos de cálculo, sino también aportar criterios prácticos para la selección normativa en función del nivel de riesgo aceptable.

Este documento se organiza en varias secciones. En primer lugar, se presenta una revisión de la literatura sobre el diseño por capacidad y la jerarquía de resistencia en estructuras de hormigón armado. Luego, se describe en detalle el método propuesto por la norma IC103-II para la determinación de la demanda flexional en columnas y su comparación con el enfoque del ACI-318. Posteriormente, se desarrolla un estudio paramétrico basado en edificios de distintas alturas para evaluar el comportamiento de ambas metodologías. Los resultados obtenidos son discutidos en términos de su impacto en el diseño estructural y se presentan conclusiones sobre la aplicabilidad de cada norma.

Revisión de la literatura

Diseño por capacidad y factor de relación de resistencias

El concepto de diseño por capacidad fue inicialmente propuesto por Blume et al. (1961) y desarrollado ampliamente por Tom Paulay, quien es considerado el "padre del diseño por capacidad" (Fardis, 2018). Este método se centra en garantizar un mecanismo de falla controlado en estructuras de hormigón armado, promoviendo la formación de rótulas plásticas en vigas antes que en columnas para evitar colapsos frágiles.

Para lograr el concepto columna fuerte - viga débil se requiere que la suma de las resistencias flexionales de las columnas (MC) sea mayor que la de las resistencias flexionales de las vigas que concurren al nudo (MB), como se expresa en (1). Donde ηc representa la relación de resistencias y debe ser superior a la unidad para cumplir con los requisitos del diseño por capacidad.

(1)

Las losas de entrepiso se vinculan eficazmente con las vigas, especialmente cuando el colado se realiza en conjunto. Desde la década de 1980, estudios experimentales (Durrani y Zerbe, 1987; Bertero et al., 1984; Suzuki et al., 1984; Qi, 1986; French y Moehle, 1991; Jiang et al., 1994; Gunasekaran y Ahmed, 2014) han demostrado que esta interacción mejora significativamente la resistencia de la viga en el nudo. Sin embargo, las tensiones en las barras de acero de la losa no se distribuyen uniformemente, disminuyendo con la distancia a la viga debido al efecto de corte (Aalami, 2001; Huang et al., 2001; Jiang et al., 1994), lo que dificulta su consideración en el diseño estructural. Para evaluar este fenómeno, se han realizado simulaciones numéricas de pórticos en una y dos dimensiones, que han permitido cuantificar el incremento de resistencia generado por la unión monolítica losa-viga (Guan y Du, 2005; Ning et al., 2016; Guo, 2012; Chen, 2010; Yang, 2010).

Basándose en estos estudios, diversas investigaciones han desarrollado modelos geométricos representativos de vigas en T o L, con el objetivo de facilitar su aplicación en la práctica profesional (Durrani y Zerbe, 1987; French y Moehle, 1991; Ning et al., 2016; Jiang et al., 1994; Qi et al., 1986; Sun, 2010). Estas expresiones dependen del ancho de la viga, el espesor de la losa y la ubicación del nudo (interno o externo) dentro de la estructura. En algunos casos, también se consideran otras variables, como las dimensiones de la losa. Nie et al. (2020) profundiza en estas formulaciones, comparando distintos enfoques propuestos en la literatura.

Otro aspecto relevante es el sobrearmado de vigas en sus extremos, práctica comúnmente motivada por la unificación de armaduras y la simplicidad en el diseño (Liu, 2004; Wei et al., 2007; Ye et al., 2008). Sin embargo, este exceso de refuerzo puede inducir una falla frágil en la columna, debido a la subestimación de la capacidad flexional de las vigas. Para evitarlo, las normativas actuales (ACI-318,2019; EN 1992 1 1;2004, NZS3101,2017; IC103-II,2021, NCh433;2006) recomiendan que ηc se determine a partir de las armaduras realmente dispuestas en la sección.

Por otro lado, los rellenos de mampostería y las cargas verticales excesivas sobre las vigas pueden generar rótulas plásticas unidireccionales, un fenómeno aún poco abordado en la literatura (Fenwick et al., 1999). Debido a sus efectos sobre la respuesta estructural, se recomienda evitar su incorporación en estructuras diseñadas para comportamiento dúctil. Aunque las normativas consideran la mampostería, suelen hacerlo de manera global y sin evaluar en detalle sus implicaciones estructurales.

Evolución de los criterios normativos y comparación internacional

Las normativas internacionales han evolucionado para incorporar criterios de diseño por capacidad, con diferencias significativas en la manera en que cada código regula la jerarquía de resistencias. En Estados Unidos, el ACI 318 ha incrementado progresivamente el factor de relación columna-viga (ηc), pasando de 1,0 en 1971 a 1,2 en versiones recientes. En Europa, el Eurocódigo 8 establece ηc > 1,3, mientras que la norma NZS 3101, base del IC103-II, propone un procedimiento más detallado basado en los estudios de Priestley (1992).

En Sudamérica, la mayoría de los países han adoptado el ACI 318, incorporando modificaciones regionales. Un caso particular es la norma NEC-SE-HM-2015 de Ecuador, que introduce un factor de amplificación dinámica para la demanda flexional en columnas.

Las demandas flexionales de las columnas dependen de múltiples factores, incluyendo la interacción losa-viga y la sobre-resistencia flexional de vigas. Se ha identificado que el método ACI 318 subestima la demanda en columnas, debido a la simplificación en la determinación de la resistencia flexional de vigas, lo que puede comprometer la jerarquía de resistencia en estructuras sismorresistentes.

Por el contrario, el IC103-II adopta un enfoque más detallado, introduciendo factores como la amplificación dinámica y la reducción de momentos en columnas, para evitar mecanismos de piso blando. Estudios experimentales han demostrado que la sobre-resistencia flexional de vigas puede incrementar la resistencia del nudo, afectando la secuencia de formación de rótulas plásticas.

Diversos estudios han evaluado valores adecuados de ηc. Análisis experimentales y numéricos sugieren que valores superiores a 1,5 son necesarios para garantizar el mecanismo de columna fuerte - viga débil. En particular, estudios probabilísticos indican que el valor ηc = 1,2, recomendado por el ACI 318, solo previene colapsos de piso blando en un 10% de los casos, mientras que ηc = 2,0 aumenta esta probabilidad hasta un 80%.

A nivel práctico, la implementación de estos criterios varía según la normativa. En China, la norma GB-50011 ha evolucionado para considerar el efecto de las losas en la resistencia flexional de vigas, aunque investigaciones posteriores han demostrado que aún no se logra completamente la jerarquía deseada. En India, la norma IS 13920:2016 incrementó ηc a 1,4 tras observar deficiencias en diseños previos luego del terremoto de 2014.

La literatura revisada indica que los métodos normativos siguen presentando desafíos en la implementación del diseño por capacidad. Si bien las normativas han evolucionado para incorporar requisitos de jerarquía de resistencias, aún persisten diferencias significativas en la manera en que cada código aborda este criterio.

El presente estudio busca evaluar estas diferencias, centrándose en la comparación entre IC103-II y el ACI318, con especial énfasis en su impacto en el diseño estructural en Latinoamérica.

Demanda flexional en columnas

La norma argentina IC103-II establece la demanda flexional de columnas (Muc), en función de si deben permanecer en el rango elástico o se si admite su plastificación durante el sismo de diseño. En estructuras con ductilidad completa, se considera aceptable un mecanismo de colapso en el que las columnas conserven un comportamiento elástico, salvo en la planta baja, donde se permite una plastificación controlada en la base de las columnas.

Para garantizar el diseño por capacidad, la norma propone la expresión (2), donde se incrementa el diagrama de momentos debido únicamente al sismo (ME) mediante un factor de sobre-resistencia (Øbo). Este factor, calculado en los ejes de nudos, relaciona la sobre-resistencia flexional de las vigas (Mbo) con la demanda flexional debida al sismo solo (MbE), como se expresa en la ecuación (3). Adicionalmente, para determinar la sobre-resistencia flexional, se debe considerar el refuerzo real colocado en la viga y aplicar un factor de sobre-resistencia del acero (λ0 = 1,4).

(2)

(3)

Dado que el método se basa en el primer modo de vibración, es necesario incrementar el momento de columna (Mcu) mediante un factor de amplificación dinámica (ω). Este factor también considera los efectos de solicitaciones biaxiales en columnas y minimiza el riesgo de generar un efecto de piso débil. Además, se supone que la sección crítica de la columna se ubica en la cara de la viga, por lo que los momentos en el nudo deben reducirse hasta dicha cara. Este ajuste se incorpora como un término de reducción en la expresión (2).

Finalmente, el factor de reducción de momentos, (Rm), considera que cuando una columna se encuentra sometida a pequeña compresión axial o a tracción, la plastificación resulta más aceptable. Entonces Rm contempla esa consideración a través de la tabla 2.3 (IC 103-II), donde se ingresa con la relación de carga axial Pu/(f’c Ag) y ω. En la expresión, f’c es la resistencia del concreto, Ag el área bruta de la columna y Pu es la carga axial proveniente del diseño por capacidad, obtenida con la expresión (4).

(4)

donde PG representa la carga vertical (D+f1 L), y VboE los esfuerzos de cortes de las vigas provenientes de las sobre resistencias flexionales, afectadas por un factor de reducción de la carga axial (RV) contempla que, a medida que aumenta el número de pisos por encima del nivel considerado, se reduce el número relativo de rótulas plásticas que se desarrollan simultáneamente su resistencia flexional.

Para determinar el factor ηc, que relacione las resistencias nominales de columnas y vigas que concurren al nudo es necesario seguir el algoritmo planteado en la Figura 2. El procedimiento inicia con un análisis lineal elástico (ALE), considerando las combinaciones de cargas verticales y sismo establecidas en la norma como dato de partida.

La Figura 2 presenta el algoritmo propuesto en el IC103-II, adaptado para su representación gráfica. El procedimiento se inicia con un análisis lineal elástico (ALE) para determinar las solicitaciones correspondientes a las acciones de diseño. Luego, siguiendo la secuencia establecida en el reglamento (véase IC103-II, apartado 2.3.4), se obtiene la demanda flexional de las columnas (MuC), la cual se divide por el momento nominal de las vigas del nudo (MNb) con el fin de calcular el factor ηc, conforme a lo indicado en dicha norma (cuadro verde al final de la figura).

Cabe mencionar que, en este caso, el factor de reducción de resistencia es igual a la unidad, ya que las demandas provienen directamente de la sobre-resistencia flexional de las vigas.

Figura 2. Diagrama de flujo para determinar ηc según la norma argentina.

La norma ACI-318, como se ha mencionado anteriormente establece una forma más sencilla para determinar la demanda de flexión de columnas. Solo indica que debe cumplirse la relación indicada en la expresión (5). Se destaca que para las vigas se debe considerar un factor de sobre resistencia del acero de 1,25.

(5)

En la ecuación (5), la sumatoria de resistencias flexionales de las columnas (∑MC) se compara con la de las vigas (∑Mb) que concurren al nudo. La norma ACI 318 establece que ∑MC debe ser al menos un 20% mayor que ∑MB, lo que se traduce en la relación ηc ≥ 1,2. Para calcular ∑MB se consideran las resistencias nominales de las vigas. Este procedimiento, al no contemplar factores de amplificación dinámica ni reducción de momentos, constituye un método más directo y simplificado que el propuesto en el IC103-II.

Como se observa la norma ACI-318, a diferencia del IC103-II, no contempla factores de amplificación dinámica, interacción en ambas direcciones de las solicitaciones y efectos de la carga axial sobre la flexión. Por otro lado, el ACI-318 mantiene una relación fija de relación de resistencias mínimas y el IC103-II no es tan claro en ese aspecto y es necesario realizar el algoritmo mostrado para obtener la relación de resistencias. En ciertas ocasiones, es práctica profesional, confundir el factor Øob como sobre resistencia del nudo, sin embargo, este factor, como se mostró anteriormente, solo relaciona la capacidad a flexión de las vigas con la demanda a sismo solo.

También es importante aclarar que el IC 103-I contempla la acción sísmica solo actuando en un eje ortogonal a la vez y la interacción sísmica en ambas direcciones se aplica a través del factor ω para pórticos espaciales, permitiendo a priori un análisis seccional de flexión uniaxial. En cambio, el ACI-318 contempla un porcentaje del 30% en la dirección transversal al análisis y requiere un análisis flexional biaxial. La realidad es que, aún en el IC103-II es necesario considerar en el diseño la flexión biaxial dado los momentos generados en la dirección transversal por la acción gravitatoria, que en pórticos externos suele ser importante. Además, hoy en día, con los softwares de análisis seccional, el diseño de flexión biaxial no resulta un problema para el profesional.

Estudio paramétrico

Se realiza un estudio paramétrico para comparar el factor ηc entre las normas IC103-II y la ACI 318-19. Se utilizan 3 edificios de 4, 6 y 8 niveles (Figura 3), estructurados en la dirección de análisis con pórticos de hormigón armado. Están ubicados en el gran Mendoza, zona de elevada sismicidad y, según el tipo de suelos, corresponde un espectro tipo I. Por la geometría y altura de las edificaciones es válido la aplicación del método estático de la norma.

Figura 3. Edificios analizados.

Además, de la carga sísmica se considera el peso propio y una sobrecarga por uso de 2,5 kN/m2 en todos los niveles. Las secciones de hormigón armado (Figura 4) se definen para alcanzar una distorsión máxima del 0,015, límite establecido por la norma. En la Tabla 1 se presentan las principales características adoptadas para la evaluación de la fuerza sísmica en los tres casos de estudio.

Nombre del Edificio

4N

6N

8N

Altura total del edificio

H (m) =

14,50

21,50

28,50

Periodo aproximado (ecuación 6.8 de IC103-I)

Ta (s) =

0,52

0,74

0,95

Periodo máximo posible Tmax = Cu Ta (ec. 6.7 de IC103-I)

Tmax (s) =

0,72

1,03

1,33

Periodo del análisis modal (ETABS fisurado)

Tet (s) =

0,98

1,67

1,88

Periodo adoptado para el método estático

Tad (s) =

0,72

1,03

1,33

PseudoAceleración espectral para Tad

pSa(Tad) =

0,98

0,69

0,53

Factor de modificación de respuesta (Tabla 5 IC103-I)

R =

7,00

7,00

7,00

Coeficiente sísmico (ecuación 6.3 de IC103-I)

C =

0,140

0,060

0,045

Peso sísmico del edificio (ecuación 6.2 de IC103-I)

Ws (kN) =

25754,00

25754,00

35864,74

Corte basal en dirección X (ecuación 6.1 de IC103-I)

Vo (kN) =

3597,78

1532,36

1613,91

Tabla 1. Características de los edificios analizados.

En la dirección transversal de análisis se plantean dos alternativas, pórticos de hormigón armado y tabiques de hormigón armado para considerar análisis planos y espaciales según el IC103-II. Además, también se varía el corte basal para alcanzar otros valores de distorsiones (0,01; 0,02; 0,025; y 0,03) manteniendo constantes las secciones de hormigón armado con el objetivo de evaluar la influencia en el análisis realizado. Si bien todos los planos estructurales en dirección X (análisis) presentan la misma rigidez, se analiza un plano extremo (P1) y un plano central (P3) para evaluar la incidencia de la carga vertical en el análisis.

En total se ejecutan 60 simulaciones para comparar los resultados de demandas de flexión en columnas entre ambas normas. Se utiliza el software ETABS (2022) para los ALE de todos los modelos y luego mediante aplicación de planilla de cálculo se realizó el algoritmo de la Figura 2. En la próxima sección se muestran y analizan los resultados obtenidos.

Figura 4. Secciones de hormigón armado.

Discusión y análisis de resultados

El factor ω es determinante en el diseño por capacidad del IC103-II, en la Figura 5 se presenta este valor para los 3 edificios planos (P) y espaciales (E).

Figura 5. Factor de amplificación dinámica (ω), según IC103-II.

El factor de amplificación dinámica (ω) refleja el incremento en la demanda de momento de las columnas debido a la participación de modos superiores y a la interacción biaxial de cargas. En la norma IC103-II, este factor busca prevenir la formación de mecanismos de piso débil, al exigir una mayor resistencia en las columnas en niveles intermedios de los edificios. Los resultados de la Figura 5 muestran que ω tiende a incrementarse con la altura, lo que implica mayores exigencias en los pisos superiores respecto al diseño por capacidad. En la práctica, esto se traduce en una mejor distribución de rótulas plásticas y una reducción del riesgo de colapso localizado.

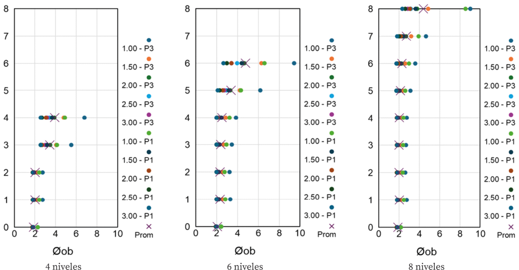
El factor Øob promedio de cada nivel se presenta en la Figura 6 para los 3 edificios analizados para todos los casos, así por ejemplo el punto azul “1.00 – P3” representa el promedio del factor Øob para la distorsión del 1,00% en el pórtico central (P3). Los valores con cruces representan los promedios de cada nivel de todos los valores.

Figura 6. Factor de sobre resistencia (Øob), promedio de cada nivel.

El Øob promedio es superior a 2 y se incrementa en altura superando el valor de 4. Si bien, Øob la norma lo denomina factor de sobre resistencia, debe comprenderse que no representa la sobreresistencia en el nudo, sino una relación entre la capacidad flexional y la demanda por sismo únicamente. Es importante esto, para no interpretar que se está obteniendo una sobre resistencia de valores altos en los nudos, eso se evaluará más adelante.

Para obtener el factor ηc según el IC103-II se sigue el algoritmo de la Figura 2 y se obtienen los promedios de cada nivel para pórticos planos mostrado en la Figura 7 y para pórticos espaciales en la Figura 8.

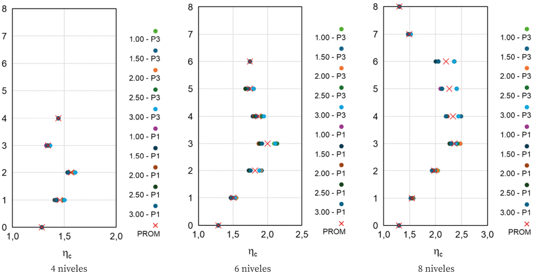
Figura 7. Factor ηc según IC103-II. Valores promedios de cada nivel para los distintos pórticos planos

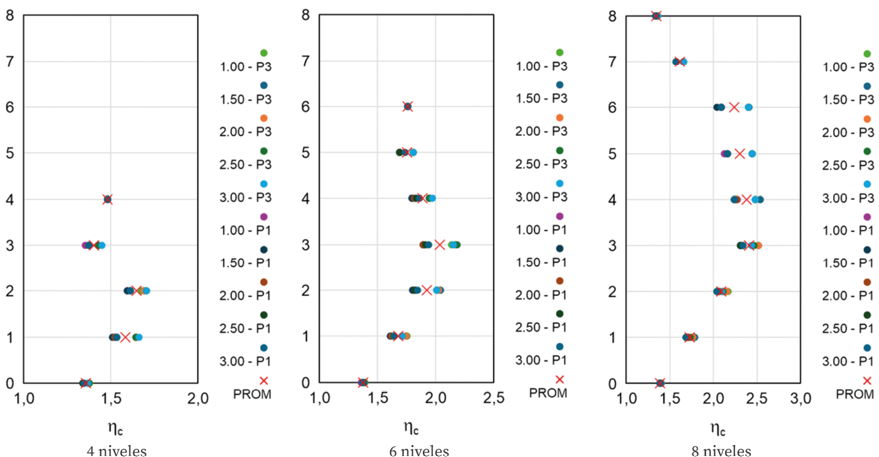
Figura 8. Factor ηc según IC103-II. Valores promedios de cada nivel para los distintos pórticos espaciales.

Se observa que, los valores son superiores a 1,20 en todos los casos (establecido por el ACI318), además presenta un patrón altura similar a la variación del factor ω (Figura 5). Se obtienen valores máximos a la mitad de la atura de 1,7 para 4 niveles, 2 y 2,4 para 6 y 8 niveles. Claramente superiores a los establecidos por el ACI-318. También, puede observarse que son inferiores a los Øob mostrados en la Figura 6. Por otro lado, la variación que se observa en cada nivel está originada por el factor Rm que varía con la relación de carga axial, también está originada por la relación de carga gravitatoria y carga sísmica que se obtiene en las distintas distorsiones de niveles.

Entonces, resulta interesante evaluar el factor ηc de la expresión (2) sin considerar el factor Rm y el factor ω. En la Figura 9 se muestran los resultados.

Figura 9. Factor ηc sin la incidencia de Rm y ω Valores promedios de cada nivel.

Se observa que el valor promedio general es de 1,25 levemente superior a lo indicado por el ACI-318. En la base de las columnas este factor se incrementa debido a la relación de rigideces entre vigas de fundación y columnas, aunque esto no es relevante debido a que la norma establece un criterio particular para el diseño de la base de la columna de planta baja. Por otro lado, es interesante mostrar que, los valores prácticamente se mantienen constantes en la altura dado por no tener la influencia de ω. Además, también se elimina la dispersión de cada nivel, al no considerar Rm.

Finalmente, en la Figura 10 se presenta el factor ηc en las 4 columnas de los 3 vanos de pórticos espaciales. Donde la C1 y C4 representan las columnas extremas y C2 y C3 las columnas centrales. P1 y P3 representan pórticos extremos y centrales de la estructura.

Figura 10. Variación del factor ηc en las columnas de pórticos espaciales de 8 niveles.

Se observa que, en el plano extremo, P1, los valores de ηc son inferiores debido a que las columnas están más descargadas y permiten un valor mayor de Rm, además, como esté ultimo depende de ω, se observa que es mayor en los pisos intermedios. En la figura de la derecha se elimina la dependencia de ω y Rm y con ello la variabilidad del factor ηc en cada nivel.

Los resultados obtenidos permiten establecer una relación directa entre los valores del factor de demanda flexional (ηc) y el riesgo estructural de las edificaciones. En el caso de aplicar el ACI 318, los valores cercanos al límite inferior (ηc ≈ 1,2) podrían favorecer la formación de mecanismos columna-débil – viga-fuerte, aumentando la probabilidad de colapso por piso blando en escenarios sísmicos severos. Por el contrario, los mayores valores de ηc obtenidos con el IC103-II (entre 1,7 y 2,4 según la altura del edificio) reducen significativamente dicho riesgo, asegurando que la disipación de energía ocurra en las vigas y no en las columnas. Este aspecto resulta especialmente relevante en estructuras esenciales, como hospitales o escuelas, donde se requiere mantener la funcionalidad post-sismo. En edificaciones residenciales o de menor importancia, el criterio simplificado del ACI 318 puede resultar aceptable, aunque con un nivel de seguridad más acotado frente a demandas sísmicas elevadas.

Conclusiones

Este estudio comparó la demanda flexional en columnas según las normas IC103-II y ACI 318, evaluando su impacto en el diseño estructural de edificaciones sismorresistentes. Se identificaron diferencias clave entre ambos enfoques normativos, particularmente en la forma de considerar la sobre-resistencia flexional de vigas, la amplificación dinámica y la interacción de cargas biaxiales en columnas.

El ACI 318 establece un criterio simplificado mediante una relación fija (ηc≥1,2), facilitando su implementación en la práctica profesional. Sin embargo, este método no considera de manera explícita la amplificación dinámica ni la reducción de momentos en columnas, lo que podría subestimar la demanda flexional en determinadas configuraciones estructurales. Por otro lado, el IC103-II introduce un procedimiento más detallado, incorporando factores como la amplificación dinámica (ω), la reducción de momentos (Rm) y la influencia de la carga axial, permitiendo una estimación más precisa, pero aumentando la complejidad del cálculo.

Los resultados obtenidos muestran que los valores de ηc calculados bajo el IC103-II superan en todos los casos el mínimo establecido por el ACI 318, alcanzando valores de hasta 1,7 en edificios de 4 niveles, 2,0 en 6 niveles y 2,4 en 8 niveles. Sin embargo, al excluir los factores de ajuste empleados en la normativa argentina, los valores promedio de ηc se acercan a 1,25, en línea con las recomendaciones del ACI 318. Además, se verificó que la sobre-resistencia flexional de vigas supera sistemáticamente el valor de 2, incrementándose con la altura del edificio.

Desde una perspectiva práctica, la diferencia en la consideración de la flexión biaxial en columnas es otro punto relevante. Mientras que el ACI 318 incluye de forma explícita un 30% de la acción sísmica en la dirección transversal, el IC103-II permite su abordaje mediante un factor de ajuste, aunque en la práctica sigue siendo necesario considerar la flexión biaxial debido a los momentos gravitatorios en pórticos externos.

Si bien el ACI 318 ofrece un método más directo y fácilmente automatizable, la simplificación en la determinación de la demanda flexional en columnas podría comprometer la adecuada jerarquía de resistencias en estructuras sometidas a cargas sísmicas severas. En contraste, el IC103-II, aunque más preciso en su formulación, presenta dificultades en su aplicación debido a la complejidad del proceso de cálculo.

En conclusión, los resultados de este estudio evidencian la necesidad de seguir explorando metodologías que optimicen el balance entre precisión y aplicabilidad en el diseño por capacidad de columnas en estructuras sismorresistentes. La comparación entre normativas revela que, si bien ambas abordan el concepto de jerarquía de resistencias, los enfoques adoptados presentan diferencias que pueden influir significativamente en la respuesta estructural y en la seguridad de las edificaciones.

En términos prácticos, el criterio simplificado del ACI 318 puede resultar aceptable en edificaciones residenciales o de menor importancia, pero presenta limitaciones frente a sismos severos. En cambio, los mayores valores de ηc obtenidos con el IC103-II ofrecen un margen de seguridad superior, lo que lo convierte en una opción más recomendable para estructuras esenciales o emplazadas en zonas de alta peligrosidad sísmica.

Referencias

Aalami, B. O. (2001) Effective Width in Post-Tensioned Flanged Beams (ADAPT Technical Note). Redwood City, CA: ADAPT Corp.

American Concrete Institute. (2019). Building code requirements for structural concrete (ACI 318-19) and commentary. American Concrete Institute.

Bertero, V. V., Aktan, A. E., Charney, F., & otros. (1984). Earthquake simulation tests and associated studies of a 1/5th scale model of a 7-story RC frame-wall test structure (Report No. UCB/EERC-84/13). Berkeley, CA: Earthquake Engineering Research Center, University of California at Berkeley.

Blume, J. A., Newmark, N. M., & Corning, L. H. (1961). Design of multistory reinforced concrete buildings for earthquake motions (318 p.). Portland Cement Association.

Bureau of Indian Standards. (2016, julio). IS 13920: Ductile design and detailing of reinforced concrete structures subjected to seismic forces – Code of practice (IS 13920:2016; reafirmado en 2021) [Norma nacional india]. Nueva Delhi, India.

Chen, X. B. (2010). The effect of floor slab and infill walls on the seismic behavior of reinforced concrete frames (Master’s thesis). Fuzhou University, Fuzhou, China.

Durrani, A. A., & Zerbe, H. (1987). Seismic resistance of RC exterior connections with floor slab. Journal of Structural Engineering 113(8), 1850–1864.

>European Committee for Standardization. (2004). Eurocode 2: Design of concrete structures – Part 1-1: General rules and rules for buildings (EN 1992-1-1:2004) [European standard]. Brussels, Belgium: CEN.

European Committee for Standardization. (2004). Eurocode 8: Design of structures for earthquake resistance – Part 1: General rules, seismic actions and rules for buildings (EN 1998-1:2004) [European standard]. Brussels, Belgium: CEN.

Fardis, M. N. (2018). Capacity design: Early history. Earthquake Engineering & Structural Dynamics, 47(14), 2887–2896.https://doi.org/10.1002/eqe.3110

Fenwick, R., Dely, R., & Davidson, B. (1999). Ductility demand for unidirectional reversing plastic hinges in ductile moment resisting frames. Bulletin of the New Zealand Society for Earthquake Engineering, 32(1), 1–12.

French, C. W., & Moehle, J. P. (1991). Effect of floor slab on behavior of slab–beam–column connections: Design of beam–column joints for seismic resistance. ACI Structural Journal, 88(6), 650–665.

Guan, M. S., & Du, H. B. (2005). Pushover analysis of effect of casting slab on RC frame structure. Earthquake Engineering and Engineering Vibration, 5(5), 117–123. https://doi.org/10.1007/s11803-005-0043-0

Gunasekaran, U., & Ahmed, S. M. (2014). Experimental investigation into the seismic performance of slabs in RC frame joints. Magazine of Concrete Research, 66(15), 770–788. https://doi.org/10.1680/macr.14.00076

Guo, L. (2012). Research on RC structures with cast-in-place slab (Master’s thesis). Beijing University of Technology, Beijing, China.

Huang, S. Y., Lou, W. J., Sun, B. B., & otros. (2001). Space prestressed slab system analysis and effective flange width. Journal of Building Structures, 31(2), 140–193.

Instituto Nacional de Normalización. (1996). Norma Chilena Oficial NCh433.Of96: Diseño sísmico de edificios (modificación 2009) [Norma técnica]. Santiago, Chile: INN.

Instituto Nacional de Prevención Sísmica (INPRES). (2021). Reglamento Argentino para Construcciones Sismorresistentes. Proyecto de estructuras de hormigón armado – Parte II: Requisitos específicos para edificios. Secretaría de Obras Públicas, Ministerio de Obras Públicas de la Nación.

Jiang, Y. S., Chen, Z. F., Zhou, X. P., & otros. (1994). Seismic studies of frame joints with cast-in-place slab. Journal of Building Structures, 15(6), 11–16. (In Chinese).

Liu, G. M. (2004). Seismic assessment of RC frame structure based on new design codes. Journal of Chongqing Jianzhu University, 26(1), 40–49.

Ministerio de Desarrollo Urbano y Vivienda [MIDUVI]. (2015). Norma Ecuatoriana de la Construcción NECSEHM: Estructuras de hormigón armado (Edición 2015) [Norma técnica]. Quito, Ecuador.

Ministry of Housing and Urban-Rural Development of the People’s Republic of China. (2010). Code for seismic design of buildings (GB 50011-2010; revised 2016) [Chinese national standard]. Beijing, China: China Architecture & Building Press.

Nie, X., Zhang, S., Jiang, T., & Yu, T. (2020). The strong column–weak beam design philosophy in reinforced concrete frame structures: A literature review. Advances in Structural Engineering, 23(12), 2510–2534. https://doi.org/10.1177/1369433220933463

Ning, N., Qu, W., & Ma, Z. (2016). Design recommendations for achieving “strong column–weak beam” in RC frames. Engineering Structures, 126, 343–352. https://doi.org/10.1016/j.engstruct.2016.07.053

Priestley, M. J. N., Paulay, T., & Priestley, G. (1992). Seismic Design of Reinforced Concrete and Masonry Buildings. John Wiley & Sons.

Qi, X. (1986). The behavior of a R/C slabbeamcolumn subassemblage under lateral load reversals (Technical report). Department of Civil Engineering, University of California, Berkeley, Berkeley, CA.

Standards New Zealand. (2006). Concrete structures standard. Part 1: The design of concrete structures & Part 2: Commentary (NZS 3101.1 & 2:2006, A1–A3 [A3 válida desde el 30 de agosto de 2017]). Wellington, Nueva Zelanda: Standards New Zealand.

Sun, Y. (2010). The effect of slabs on strong column-weak beam mechanism of RC frame structures (Master’s thesis). Harbin Institute of Technology, Harbin, China. (In Chinese).

Suzuki, N., Halim, J. K., Otani, S., & otros. (1984). Behavior of reinforced concrete beamcolumn subassemblages with and without slab (Technical report). Tokyo, Japón: Departamento de Arquitectura, Facultad de Ingeniería, Universidad de Tokio.

Wei, F., Fu, J. P., & Bai, S. L. (2007). Actual control effect of strong-column and weak-beam measures of reinforced concrete frame structures in China. Building Structure, 37(8), 5–9.

Yang, Z. L. (2010). Research on “strong column weak beam” yield mechanism factors of reinforced concrete frame structure (Master’s thesis). Qingdao Technological University, Qingdao, China.

Ye, L. P., Qu, Z., Ma, Q. L., & otros. (2008). Study on ensuring the strong column–weak beam mechanism for RC frames based on the damage analysis in the Wenchuan earthquake. Building Structure, 38(11), 52–67.

Contribución de los Autores +info

Colaboración Académica

Nombres y Apellidos del autor

1

2

3

4

5

6

7

8

9

10

11

12

13

14

Cristian O. Bay

x

x

x

x

x

x

x

x

x

x

x

Gustavo A. Palazzo

x

x

x

x

x

x

x

Ricardo D. Bassotti

x

x

x

x

x

1-Administración del proyecto, 2-Adquisición de fondos, 3-Análisis formal, 4-Conceptualización, 5-Curaduría de datos, 6-Escritura - revisión y edición, 7-Investigación, 8-Metodología, 9-Recursos, 10-Redacción - borrador original, 11-Software, 12-Supervisión, 13-Validación, 14-Visualización.