Revista Tecnología y Ciencia - Universidad Tecnológica Nacional

Año 23 - Número 53 / May - Ago. 2025

DOI:https://doi.org/10.33414/rtyc.53.79-94.2025

ISSN 1666-6933

Reconocimiento-NoComercial 4.0 Internacional

Estudio de una metodología basada en el monitoreo de potencial de corrosión para la evaluación de desempeño de mezclas cementicias – Parte 2.

Methodology study based on corrosion potential monitoring for cementitious mixtures performance evaluation – Part 2.

Presentación: 01/05/2025

Aprobación: 23/06/2025

Publicación: 01/07/2025

Thomas Mcquay

Facultad de Ingeniería y Ciencias Agraria, Universidad Católica Argentina, Argentina.

tmcquay@uca.edu.ar

Enzo D. Gomez

Facultad de Ingeniería y Ciencias Agraria - Universidad Católica Argentina, Argentina.

Departamento de Corrosión, Gerencia de Materiales, Comisión Nacional de Energía Atómica, Argentina.

enzogomez@uca.edu.ar / enzodavidgomez@cnea.gob.ar

Resumen

El hormigón protege física y químicamente al acero de las armaduras contra la corrosión. Debido al pH del hormigón (≈13), el acero embebido desarrolla una película de óxido estable (capa pasiva) que inhibe el deterioro. Cuando el hormigón se contamina con agentes agresivos ambientales, la capa pasiva se daña y la corrosión se inicia. En hormigón sin defectos y bien colocado, el tiempo de inicio de la corrosión (OCORR) dependerá de la calidad de la mezcla y de las condiciones ambientales de exposición. Este trabajo presenta avances en la búsqueda de una metodología para evaluar el desempeño de mezclas cementicias utilizando la ocurrencia de OCORR como indicador. Se analizó la correlación entre la exposición ambiental y parámetros electroquímicos de probetas con características geométricas de elementos estructurales de escala industrial y se reconoció la posibilidad de detectar la ocurrencia del OCORR en base al monitoreo del potencial de corrosión (ECORR).

Palabras claves: Durabilidad, Corrosión en armaduras, Evaluación de desempeño de mezclas cementicias.

Abstract

Concrete is a physical and chemical protect barrier for steel against corrosion. Due to concrete pH (≈13), a deterioration inhibitor stable oxide film (passive layer) develops on embedded steel. When concrete is contaminated with aggressive environmental agents, the passive layer is damaged, and corrosion begins. In well-placed and defect-free concrete, the corrosion onset time (OCORR) will depend on the quality of the mixture and environmental exposure conditions. This work shows advances in the search for a methodology to evaluate the performance of cementitious mixtures that uses the occurrence of the corrosion onset (OCORR) as an indicator. Correlation between electrochemical parameters, recorded on specimens with geometric characteristics of industrial-scale structural elements, and environmental exposure was analyzed and the possibility of detecting the occurrence of OCORR based on corrosion potential monitoring (ECORR) was recognized.

Keywords: Durability, Reinforcement corrosion, Cementitious mixture performance evaluation.

Introducción

La corrosión de armaduras es el principal mecanismo de degradación que afecta a las estructuras de hormigón armado. En el interior del hormigón el pH es alto (≈13), lo cual genera sobre la superficie del acero una capa de óxido estable, denominada capa pasiva (CP), que mantiene al acero sin degradación. Sin embargo, el ingreso de iones cloruros (Cl-) y/o la disminución de pH del hormigón debido a carbonatación eventualmente provoca la destrucción de la CP de manera localizada o generalizada iniciando la corrosión (Bertolini et al., 2013). De acuerdo con esto, el hormigón del recubrimiento actúa como una barrera química (produce y mantiene la CP) y física (atenúa el ingreso de agentes) evitando que el acero no se corroa (Bentur et al., 1997). El modelo de vida útil más básico (Tuutti, 1982) divide la degradación por corrosión de elementos de hormigón armado en dos periodos: iniciación y propagación. Durante la iniciación, los agentes agresivos ingresan desde la superficie a través del recubrimiento, hasta alcanzar una concentración en la superficie de las armaduras que provoque la destrucción de la CP. Durante la iniciación el acero no sufre degradación. Una vez destruida la CP, y sin la capacidad de regenerarse, se inicia el proceso de corrosión. Consecuentemente, en el periodo de propagación, la armadura se degrada perdiendo sección resistente, adherencia con el hormigón y eventualmente dañando el recubrimiento. La velocidad de degradación durante el periodo de propagación dependerá de las condiciones ambientales de exposición (Bentur et al., 1997; Bertolini et al., 2013).

En estructuras expuestas a ambientes ricos en cloruros, el inicio de la corrosión (OCORR) es un hito de suma importancia (Troncónis de Rincón et al., 1998; Andrade et al., 2004) y el periodo de iniciación, tiempo comprendido desde la fabricación del elemento hasta la ocurrencia de OCORR, representa la vida útil del elemento estructural. La irregularidad de la degradación, manifiesta a través de pérdidas de sección en puntos localizados aleatorios (corrosión por picado), genera una gran dificultad para gestionar la vida remanente (periodo de propagación) de elementos estructurales. En estos casos la calidad del hormigón y el espesor del recubrimiento son importantes para garantizar que el OCORR no se presente antes de que la estructura cumpla con su vida de servicio.

Múltiples investigaciones (Cigna et al., 1993; Andrade & Alonso, 1996; Mietz & Isecke, 1996; Duffó et al., 2018) indagaron el alcance de la utilización de mediciones de potencial de corrosión (ECORR) como indicador electroquímico del estado de degradación por corrosión en armaduras, llegando a la conclusión de que solo puede utilizarse este parámetro como un indicador de susceptibilidad. En la actualidad, existe un acuerdo general de que no es posible utilizar valores de ECORR para cuantificar el avance de la corrosión en armaduras, siendo la medición de velocidad de corrosión (VCORR) el único parámetro electroquímico preciso en este sentido (Gouda & Halaka, 1970). Sin embargo, la obtención de VCORR no es simple, requiere de la ejecución de técnicas eléctricas complejas, debiéndose contar con equipamiento y personal especializado para la obtención y tratamiento de registros. En contraparte, la medición de ECORR resulta accesible en términos de equipamiento y personal, debiéndose contar solo con un electrodo de referencia y un voltímetro de alta impedancia como herramientas particulares.

Aun cuando no se puede utilizar ECORR para cuantificar el deterioro de una armadura, se ha mostrado que el monitoreo continuo de ECORR tiene la capacidad de evidenciar cambios en los procesos superficiales de la armadura debido a la acción de las condiciones ambientales de exposición (Gouda & Halaka, 1970; Li & Sagüés, 2001; Duffó et al., 2018). Bajo esta premisa, y en línea con múltiples programas experimentales (Alonso et al., 2002; Angst et al., 2017; Tang et al., 2018), se planteó un programa experimental para analizar la correlación entre registros de ECORR, VCORR y las condiciones de exposición ambiental en búsqueda de una metodología que permita reconocer el OCORR en base al monitoreo de ECORR. Si se desarrolla la capacidad de establecer la ocurrencia de OCORR es posible cuantificar indicadores, como el tiempo de exposición o la cantidad de ciclos necesarios, y utilizarlos para evaluar el desempeño de mezclas cementicias como protección para las armaduras.

Los resultados obtenidos en la primera parte de este programa experimental indicaron que es posible provocar el inicio de la corrosión en sistemas “acero–mezcla cementicia” bajo condiciones ambientales controladas de alta agresividad. Sin embargo, las variaciones de potencial registradas bajo condiciones ambientales estables (ej: bajo inmersión) no resultaron precisas para establecer el inicio de la corrosión, siendo necesario indagar combinaciones de exposición ambientales (ciclos de inmersión y secado) en donde la variación de potenciales, además de poner en evidencia los cambios ambientales en la superficie de la barra, indique la existencia de un proceso de deterioro activo. Como complemento de la búsqueda de condiciones ambientales controladas aplicables a un ensayo reproducible que permita evaluar el desempeño de mezclas cementicias como protección contra la corrosión de armaduras, este trabajo presenta resultados experimentales obtenidos a partir del monitoreo de parámetros electroquímicos sobre probetas fabricadas con diferentes mezclas cementicias, barras nervadas y recubrimientos de escala industrial.

Metodología

Utilizando diferentes mezclas cementicias, se fabricaron probetas cilíndricas de 50 mm de altura por 50 mm de diámetro con una barra de acero de construcción ADN420 de 10 mm de diámetro embebida en su interior. Sobre cada barra, de 60 mm de longitud, se delimitó el área de contacto con las mezclas cementicias (12,6 cm2) utilizando pintura epoxi y se ejecutó, en uno de sus extremos, una conexión eléctrica soldada a un cable multifilamento unipolar de 1 mm de diámetro y 1000 mm de longitud. Para la conformación de la probeta, previo al colado de las mezclas cementicias, el extremo conectado de las armaduras fue embebido en resina epoxi de encapsulamiento para proteger la conexión eléctrica del ambiente agresivo, generar una base de encastre para el molde y mantener la posición del acero durante la ejecución del colado de las mezclas de manera que se garantice 20 mm de recubrimiento en todas las direcciones. La Figura 1 muestra la conformación de las probetas utilizadas.

Figura 1 – Conformación de las probetas ensayadas.

En total, se fabricaron y ensayaron 8 probetas utilizando 4 tipos de mezclas: 2 probetas de pasta cementicia (PC); 2 probetas de mortero cementicio (MC); 2 probetas de hormigón autocompactante H-40 (HAC40) y 2 probetas de hormigón convencional H-30 (H30). Todas las mezclas utilizadas contaban con relación agua/cemento (a/c) igual a 0,45. Los materiales componentes utilizados fueron: Cemento Portland Compuesto de 50 MPa de resistencia a la compresión (CPC50)(Instituto Argentino de Normalización y Certificación, 2017); una mezcla (60-40) de arena silícea del rio Paraná y arena de trituración granítica 0/6; piedra granítica 6/12; y aditivos híper-fluidificantes (HF) para el caso de hormigones. La Tabla 1 presenta las dosis de materiales componente (dosificación) en peso por unidad de volumen de cada mezcla fabricada. Particularmente, las dosis de aditivo incorporadas en los hormigones se presentan también en relación a la dosis de cemento (CW).

Componente

Dosis [kg/m3]

Dosis [g/kgSOL]

Solución de exposición

H30

HAC40

MC

Cemento CPC-50

350

420

655

-

Agua

159

189

295

835

Arena silícea

571

607

786

-

Arena granítica 0/6

381

405

524

-

Piedra granítica 6/12

879

690

-

-

Aditivo HF

1,58 (0,45% CW)

2,14 (0,50% CW)

-

-

Cloruro de Sodio

-

-

-

165 (100 g Cl-)

Tabla 1 – Dosificaciones de mezclas y solución de exposición.

Para el caso de las mezclas PC y MC, la elaboración se realizó bajo los lineamientos de normativa internacional (American Society for Testing and Materials, 2014), mientras que los hormigones se siguieron lineamientos de normativa nacional (Instituto Argentino de Normalización y Certificación, 2020b). La consistencia en estado fresco de las mezclas cementicias que contenían agregado pétreo se caracterizaron midiendo asentamientos o extendido según correspondía. La mezcla MC registró un asentamiento de cono de Abrams de 11cm (Instituto Argentino de Normalización y Certificación, 2020a); a su vez, la mezcla H30 evidenció un asentamiento de cono de Abrams de 17cm; y finalmente, la mezcla HAC40 evidencio un extendido total de 64cm con un tiempo para alcanzar 50 cm de extendido (T50) de 2,1s (Instituto Argentino de Normalización y Certificación, 2018).

Todas las probetas fueron coladas en dos capas de 25 mm compactadas cada una con 25 varilleos (varilla de 6 mm de diámetro) uniformemente distribuidos. Pasadas las 24 horas desde el colado, las probetas se desmoldaron y se colocaron dentro de una cámara húmeda con 98 %HR durante 28 días para su curado. Finalizado el curado, todas las piezas fueron inmersas en una solución de exposición acuosa de Cloruro de Sodio (NaCl) con 10% de cloruros en masa (ver Tabla 1) a 50 °C durante 30 días hasta la edad de los 60 días aproximadamente. Finalmente, posterior a la inmersión, todas las probetas se dejaron secar al aire bajo humedad de laboratorio (HRmedia:70±5%) durante 30 días hasta la edad de los 90 días aproximadamente.

Para monitorear el avance de la corrosión de manera precisa se realizaron mediciones de velocidad de corrosión sobre todas las probetas en diferentes instancias: previo a la inmersión (Edad: 30 días), cada 10 días durante la inmersión (Edades: 30 a 60 días) y cada 7 días durante el secado (Edades: 60 a 90 días). Además de los registros de ECORR obtenidos durante la medición de VCORR, se monitoreó el potencial de corrosión de cada barra con una frecuencia de 1 hora durante la inmersión.

Para garantizar la estabilidad de temperatura y concentración de solución de exposición, se utilizó una cámara de exposición aislada térmica e hidráulicamente, con una serpentina polimérica interna de intercambio de calor por la que circuló agua a 55°C impulsada por un baño termostático externo (Ver Figura 2). Acoplada a la cámara de exposición se utilizó un equipo recolector de datos de 12 canales (resolución: 0,001V / precisión: ±0,010V), para monitorear ECORR sobre cada probeta mientras se mantenían bajo inmersión.

Figura 2 – Sistema de exposición y monitoreo de ECORR en probetas.

Para determinar VCORR se utilizó la técnica del pulso galvanostático. Esta técnica consiste en aplicar una corriente continua estable predeterminada sobre una barra de acero y registrar la variación de su potencial en función del tiempo. Las mediciones se realizaron con un potenciostato/galvanostato GAMRY INTERFACE 1010 utilizando un electrodo de referencia de calomel saturado (ECS) y un contralectrodo cilíndrico de acero inoxidable externo. La Figura 3 muestra la configuración de conexión utilizada para la ejecución de pulsos galvanostáticos y un ejemplo del diagrama de polarización típico obtenido durante la aplicación de la técnica. En el presente caso se aplicó una corriente de -1μA durante 60 segundos y se determinó la variación del potencial en ese lapso (ΔE).

Figura 3 – Medición de velocidad de corrosión. (A) Configuración de conexión para la medición de VCORR. (B) Registro resultante de la aplicación del pulso galvanostático.

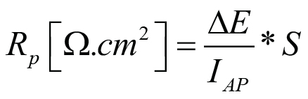
Utilizando el valor de ΔE medido, es posible calcular la resistencia a la polarización (RP) de la barra (Sathiyanarayanan et al., 2006) de acuerdo con:

(1)

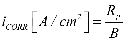
donde ΔE, expresada V, es la polarización medida a partir de la aplicación del pulso galvanostático; IAP, expresada en A, es la corriente aplicada durante el pulso; y S, expresada en cm2, es la superficie expuesta de la barra en contacto con la mezcla cementicia. A partir del valor de RP, puede calcularse la densidad de corriente de corrosión (iCORR) mediante la ecuación de Stern & Geary (Andrade & Alonso, 1996; Andrade et al., 2004):

(2)

donde B es una constante que vale 0,052 V cuando el acero está pasivo (sin corrosión) o 0,026 V cuando el acero se está corroyendo. A partir de iCORR puede calcularse la velocidad de corrosión (VCORR) de acuerdo con la siguiente expresión (Andrade et al., 2004):

(3)

Calculado de esta manera, el valor de VCORR indica la pérdida de sección de la barra en el momento de la medición, asumiendo un ataque homogéneo sobre su superficie expuesta. Debido a que la corrosión por cloruros puede inducir una morfología de ataque heterogénea en forma de picaduras, este valor de VCORR no puede ser utilizado como indicador de pérdida de sección localizada. En este trabajo el valor de VCORR se utilizó como parámetro para establecer la ocurrencia de OCORR, cuando evidencia valores mayores a 1,2 μm/año, y no como base para el cálculo de pérdida de sección. La correlación entre los valores de VCORR y ECORR se utilizó como herramienta para reconocer si en algún momento del ciclo de inmersión y secado se pueden utilizar los valores ECORR para establecer la ocurrencia de OCORR.

Finalizado el monitoreo de parámetros electroquímicos, se ejecutó la apertura de las probetas induciendo una rotura por tracción del cilíndrico cementicio debido a la aplicación de una carga de compresión diametral, separándose la mezcla cementicia endurecida en dos mitades similares y desvinculándose de la barra de acero. Este tipo de apertura permitió liberar la armadura para verificar su estado superficial y obtener una superficie de rotura sin alteración sobre la mezcla cementicia para constatar su estado de contaminación. Se verificó la existencia de zonas corroídas en las barras de acero que acusaron inicio de la corrosión y se inspeccionó cualitativamente la contaminación con cloruros en las mezclas cementicias mediante el método colorimétrico de nitrato de plata (AgNO3). Al rociar con una solución 0,1 N de AgNO3 la sección trasversal de la probeta ocurre una reacción fotoquímica mediante la cual se forma un precipitado blanco de cloruro de plata donde hay presencia de cloruros libres en la pasta cementicia, y un precipitado marrón de óxido de plata en la región sin cloruros (o con cloruros combinados). De esta manera, la diferencia de coloración pone en evidencia la profundidad del frente de contaminación (de cloruros libres) respecto a la superficie expuesta. La Figura 4 muestra un ejemplo del funcionamiento del método colorimétrico.

Figura 4 –Ejemplo de funcionamiento de método colorimétrico para inspeccionar contaminación con cloruros.

Resultados

La Figura 5 muestra el monitoreo completo de ECORR y VCORR sobre barras embebidas en los diferentes tipos de mezclas cementicias fabricadas. En las figuras se indican el periodo de inmersión y los criterios de clasificación planteados por la bibliografía de referencia (Troncónis de Rincón et al., 1998) para cada parámetro electroquímico. El tiempo “0” indica la fabricación de la probeta.

Figura 5 – Monitoreo de ECORR y VCORR sobre barras embebidas en los diferentes tipos de mezclas cementicias fabricadas.

Se puede notar que las caídas de potenciales desde rangos de “baja probabilidad” de corrosión en estado seco (>-325 mV vs ECS) a rangos de valores de “baja probabilidad” de corrosión por inmersión (<-525 mV vs ECS) se producen en todas las probetas casi de manera instantánea (pocas horas) manteniendo estabilidad en los registros durante todo el periodo de inmersión. Este comportamiento del potencial es un indicador del rápido cambio de las condiciones ambientales en la superficie de la barra al ser sumergida en la solución con alto contenido de cloruros y temperatura.

De acuerdo con el monitoreo de VCORR, en todas las probetas se detectó el inicio de la corrosión (VCORR>1,2 µm/año) durante la inmersión; sin embargo, la evolución de la velocidad de deterioro en el secado posterior fue particularmente diferente para cada tipo de mezcla ensayada. Mientras que las probetas PC mantuvieron valores de VCORR elevados (>12 µm/año) durante todo el secado, las probetas fabricadas con mezclas que contenían agregados pétreos (MC, H30 y HAC40) mostraron una atenuación de la degradación a medida que su estructura de poros perdía humedad. Particularmente, las probetas MC y H30 mostraron atenuaciones de degradación similares, mientras que en probetas HAC40 la atenuación de VCORR fue más rápida. Todas las probetas MC, H30 y HAC40 evidenciaron velocidades de deterioro bajas (<6 µm/año) al finalizar el monitoreo luego de 30 días de secado (edad mayor a 90 días).

La Figura 6 muestra en detalle el monitoreo de ECORR realizado durante la inmersión, en donde la escala de tiempo está indicada en horas desde el inicio de la inmersión y se marcaron periodos equivalentes a 7 días. Tomando como indicador el tiempo en el cual el valor de potencial cae a valores que indican “baja probabilidad” por inmersión (<-525m V vs ECS), se puede notar una tendencia general en la cual las barras embebidas en PC varían su potencial más rápido (menos de 20 horas de inmersión) respecto a barras embebidas en MC y H30 (entre 20 y 30 horas de inmersión) y barras embebidas en HAC40 (más de 30 horas de inmersión). Este comportamiento es consecuente con la posterior atenuación de VCORR durante el secado y asociable a las características de transporte a través de la estructura de poros de las diferentes mezclas cementicias.

Figura 6 – Monitoreo de ECORR sobre todas las probetas durante la inmersión.

La Figura 7 muestra la evolución de los valores promedios de ECORR y VCORR registrados sobre cada tipo de mezcla cementicia utilizada para la fabricación de probetas. La cantidad de probetas ensayadas (dos por mezcla) no permitió realizar un análisis estadístico que permita concluir sobre la reproducibilidad de los resultados o sus dispersiones; sin embargo, se hace notable al observar el comportamiento de las curvas promedio el impacto de las características de la estructura de poros de las mezclas cementicias sobre el comportamiento de los parámetros electroquímicos monitoreados, siendo la mezcla HAC40 la que evidencia caída de potencial en inmersión más lenta y atenuación de degradación más rápida durante el secado. En este sentido, el desempeño de las mezclas puede ordenarse de manera que HAC40 > H30/MC > PC y siendo este resultado asociable al impacto de la presencia de agregados en la tortuosidad de la estructura de poros.

Figura 7 – Valores promedios de ECORR y VCORR asociados cada mezcla cementicia utilizada.

Finalmente, la Figura 8 muestra los resultados de la inspección visual realizada al abrir las probetas. En concordancia con lo registrado en el monitoreo de parámetros electroquímicos, todas las barras evidenciaron la presencia de zonas corroídas que confirman el inicio de la corrosión. La extensión del ataque se corresponde con el desempeño previamente marcado, resultando las barras que fueron embebidas en PC las que evidenciaron ataques más extendidos respecto al resto de las mezclas. Finalmente, el método colorimétrico mostró que en todos los casos los cloruros llegaron a contaminar la totalidad del recubrimiento, alcanzando las barras, en todas las mezclas cementicias ensayadas.

Figura 8 – Estado superficial de barras de acero y penetración de cloruros en mezclas cementicias puestos en evidencia en la inspección visual realizada al abrir las probetas.

Discusión

Los resultados obtenidos muestran que al ejecutar un ciclo de inmersión y secado es posible notar como las características estructurales de las diferentes mezclas cementicias impactan sobre la variación de los parámetros electroquímicos. Particularmente, se reconocieron dos etapas dentro del ciclo en donde la tasa de variación de ECORR puede correlacionarse con las características estructurales de la mezcla: al ingresar a inmersión, mientras la estructura de poros se satura y posterior a la salida, mientras la estructura de poros se seca. En contraparte, el impacto de las características de las mezclas solo se hace notable durante el secado al evaluar la variación de VCORR.

La carga de contaminación del ambiente de inmersión fue elevada y produjo el inicio de la corrosión durante la inmersión en todas las barras sin importar el tipo de mezcla que la protegía. La correlación entre los valores de VCORR y ECORR dejó en evidencia que bajo inmersión los registros de ECORR no son capaces de reconocer la ocurrencia del OCORR. Sin embargo, al salir de la inmersión, se pudo notar que el valor de ECORR al cual las barras se estabilizan luego de un salto inicial por pérdida abrupta de humedad, pueden ser asociados con la ocurrencia de un proceso corrosivo. Esto último es relevante desde el punto de vista metodológico ya que puede ser utilizado como indicador bajo ciclos de contaminación menos agresivos o más cortos. Aun así, el hecho de que ninguna barra haya quedado pasiva luego de finalizada la inmersión tampoco permite corroborar la eficacia de este indicador.

Al tratarse de un proceso electroquímico, el valor de ECORR medido sobre un sistema “armadura–mezcla cementicia” es el resultado del equilibrio entre la reacción anódica del acero y la reacción catódica de la solución en contacto (Teoría de potenciales mixtos). En términos de curvas de polarización (E vs log i), el valor de ECORR e iCORR resultan de la intersección entre la curva anódica del acero y la curva catódica de la solución de poros (Galvele & Duffó, 2006; Duffó & Farina, 2016). Bajo esta hipótesis, mientras el acero esté pasivo y la solución de poros no sufra grandes cambios en la concentración de iones, el valor de ECORR responderá a los cambios de humedad en la estructura porosa de las mezclas cementicias (Figura 9).

Figura 9 – Curvas de polarización para sistemas “acero – mezcla cementicia” – Acero estado pasivo.

Por el contrario, en presencia de iones cloruros, la curva anódica del acero evidencia la existencia de un valor de potencial umbral a partir del cual se dispara el picado que está asociado a la concentración de cloruros en la solución. En este contexto, cambios abruptos de humedad en la estructura de poros de una mezcla cementicia no generarían grandes variaciones en el valor de ECORR pero si generarían aumentos en la velocidad de corrosión debido al deterioro por corrosión localizada (Figura 10).

Figura 10 – Curvas de polarización para sistemas “acero – mezcla cementicia” – Acero activo por cloruros.

De acuerdo con lo planteado sobre la teoría de los potenciales mixtos, la evolución del valor de ECORR durante un ciclo de inmersión y secado podría indicarnos la existencia de un proceso corrosivo activo en el acero. Al sumergirse una probeta en una solución con cloruros y temperatura, el potencial de la barra caería a valores que indican “baja disponibilidad de oxígeno” y se mantendrían mientras dure la inmersión. Al salir de la inmersión, si en el acero no se inició un proceso corrosivo activo (continua pasivo), el potencial subiría y se estabilizaría en valores que indican “baja probabilidad” de corrosión; por el contrario, si un proceso corrosivo activo se inició en el acero, al salir de la inmersión el potencial subiría y se estabilizaría en valores que indican “alta probabilidad” de corrosión. Los resultados obtenidos en este programa experimental son coincidentes con el caso en el cual el proceso corrosivo activo se inició en las barras debido a la inmersión y este hecho es confirmado mediante los registros de VCORR y la apertura de las probetas.

Desde el punto de vista metodológico la posibilidad de relacionar valores de ECORR con la ocurrencia de OCORR es valioso; sin embargo, se mantiene la limitación de no poder establecerse con precisión el tiempo exacto en el que se produce OCORR si no se utilizan el monitoreo de VCORR, sobre todo cuando OCORR sucede bajo inmersión. En este sentido, rediseñar las condiciones de exposición pueden mejorar el alcance de esta herramienta, pudiéndose considerar dos estrategias:

Finalmente, un aspecto interesante de los resultados obtenidos es la posibilidad de correlacionar la evolución de ECORR con las características estructurales de las mezclas cementicias posterior a la entrada y a la salida de la inmersión. En ambos casos se puede notar que cuanto más tortuosa y cerrada es la estructura de poros de la mezcla cementicia, mayor protección les confiere a las armaduras, siendo asociables estos resultados a las características granulométricas del paquete de agregados de cada mezcla al tratarse de mezclas fabricadas con la misma relación a/c y tipo de cemento. En este sentido, queda en evidencia que la utilización de pastas resulta poco útiles y representativas para estos tipos de pruebas. Realizar estudios más detallados en relación al impacto de las características granulométricas de los paquetes de agregados pétreos podrían ayudar a plantear nuevos indicadores de desempeño basados en el tiempo de estabilización de valores de ECORR durante la saturación o el secado.

Conclusiones

En búsqueda del desarrollo de una metodología, que permita evaluar el desempeño de mezclas cementicias utilizando el OCORR como indicador, se analizaron los resultados obtenidos del monitoreo de parámetros electroquímicos y se concluye que:

Agradecimientos

El autor agradece al apoyo financiero de la Facultad de Ingeniería y Ciencias Agrarias de la Pontificia Universidad Católica Argentina (FICA-UCA), a través del proyecto “ALT-4320: Vulnerabilidad de elementos de Hormigón armado a la corrosión”; al apoyo tecnológico recibido del Departamento de Corrosión de la Comisión Nacional de Energía Atómica (CNEA); y a los Doctores Gustavo S. Duffo y Silvia B. Farina por la revisión conceptual de este trabajo.

Referencias

Alonso, C., Castellote, M., & Andrade, C. (2002). Chloride threshold dependence of pitting potential of reinforcements. Electrochimica Acta, 47(21), 3469–3481. https://doi.org/10.1016/S0013-4686(02)00283-9

American Society for Testing and Materials. (2014). ASTM C305 - Standar practice for mechanical mixing of hydraulic cement pastes and mortars of plastic consistency.

Andrade, C., & Alonso, C. (1996). Corrosion rate monitoring in the laboratory and on-site. Construction and Building Materials, 10(5), 315–328. https://doi.org/10.1016/0950-0618(95)00044-5

Andrade, Carmen, Alonso, C., Gulikers, J., Polder, R., Cigna, R., Vennesland, … Elsener, B. (2004). Recommendations of RILEM TC-154-EMC: “Electrochemical techniques for measuring metallic corrosion” Test methods for on-site corrosion rate measurement of steel reinforcement in concrete by means of the polarization resistance method. Materials and Structures, 37(273), 623–643. https://doi.org/10.1617/13952

Angst, U. M., Boschmann, C., Wagner, M., & Elsener, B. (2017). Experimental Protocol to Determine the Chloride Threshold Value for Corrosion in Samples Taken from Reinforced Concrete Structures. Journal of Visualized Experiments, (126). https://doi.org/10.3791/56229-v

Bentur, A., Diamond, S., & Berke, N. S. (1997). Steel corrosion in concrete: fundamentals and civil engineering practice. London, UK: E & FN Spon.

Bertolini, L., Elsener, B., Pedeferri, P., Redaelli, E., & Polder, R. (2013). Corrosion of Steel in Concrete: Prevention, Diagnosis, Repair (2nd ed.). Weinheim, Germany: WILEY-VCH.

Cigna, R., Proverbio, E., & Rocchini, G. (1993). A study of reinforcement behaviour in concrete structures using electrochemical techniques. Corrosion Science, 35(5–8), 1579–1584. https://doi.org/10.1016/0010-938X(93)90387-V

Duffó, G. S., & Farina, S. B. (2016). La corrosión de estructuras de hormigón armado (1ra ed.). Saarbrucken, Alemania: Editorial Academica Española.

Duffó, G. S., Gomez, E. D., & Vazquez, D. R. (2018). Revisiting the Effect of the Corrosion Potential, the Matrix Resistivity and the Oxygen Availability on the Corrosion Rate of Steel Bars Embedded in Mortar. Journal of Scientific and Engineering Research, 5(9), 221–232.

Galvele, J. R., & Duffó, G. S. (2006). Degradacion de materiales I: Corrosión. (1ra ed.). Buenos Aires, Argentina: Jorge Baudino Ediciones: Instituto Sábato.

Gouda, V. K., & Halaka, W. Y. (1970). Corrosion and corrosion inhibition of reinforcing steel II. Embedded in concrete. British Corrosion Journal, 5(5), 204–208. https://doi.org/10.1179/000705970798324478

Instituto Argentino de Normalización y Certificación. (2017). IRAM 50000 - Cementos para uso general. Composición y requisitos.

Instituto Argentino de Normalización y Certificación. (2018). IRAM 1890 - Hormigones autocompactantes (HAC). Métodos de ensayo. Parte 1 - Método de ensayo de extendido y el tiempo T50.

Instituto Argentino de Normalización y Certificación. (2020a). IRAM 1536 - Hormigón fresco de cemento. Método de ensayo de la consistencia utilizando el tronco de cono.

Instituto Argentino de Normalización y Certificación. (2020b). IRAM 1666 - Hormigón elaborado. Requisitos y control de la producción.

Li, L., & Sagüés, A. A. (2001). Chloride Corrosion Threshold of Reinforcing Steel in Alkaline Solutions—Open-Circuit Immersion Tests. Corrosion, 57(1), 19–28. https://doi.org/10.5006/1.3290325

Mietz, J., & Isecke, B. (1996). Monitoring of concrete structures with respect to rebar corrosion. Construction and Building Materials, 10(5), 367–373. https://doi.org/10.1016/0950-0618(95)00016-X

Sathiyanarayanan, S., Natarajan, P., Saravanan, K., Srinivasan, S., & Venkatachari, G. (2006). Corrosion monitoring of steel in concrete by galvanostatic pulse technique. Cement and Concrete Composites, 28(7), 630–637. https://doi.org/10.1016/j.cemconcomp.2006.03.005

Tang, L., Frederiksen, J. M., Angst, U. M., Polder, R., Alonso, M. C., Elsener, B., … Pacheco, J. (2018). Experiences from RILEM TC 235-CTC in recommending a test method for chloride threshold values in concrete. RILEM Technical Letters, 3, 25–31. https://doi.org/10.21809/rilemtechlett.2018.55

Troncónis de Rincón, O., Romero de Carruyo, A., Andrade, C., Helene, P., & Diaz, I. (1998). Manual de inspección, evaluación y diagnostico de corrosión en estructuras de hormigon armado. Red DURAR - Programa CYTED.

Tuutti, K. (1982). Corrosion of steel in concrete. Royal Institute of Technology. Retrieved from https://portal.research.lu.se/en/publications/corrosion-of-steel-in-concrete

Contribución de los Autores

Colaboración Académica

Nombres y Apellidos del autor

1

2

3

4

5

6

7

8

9

10

11

12

13

14

Thomas Mcquay

x

x

x

x

x

x

x

Enzo David Gomez

x

x

x

x

x

x

x

x

x

x

x

1-Administración del proyecto, 2-Adquisición de fondos, 3-Análisis formal, 4-Conceptualización, 5-Curaduría de datos, 6-Escritura - revisión y edición, 7-Investigación, 8-Metodología, 9-Recursos, 10-Redacción - borrador original, 11-Software, 12-Supervisión, 13-Validación, 14-Visualización.