Revista Tecnología y Ciencia - Universidad Tecnológica Nacional

Año 22 - Número 49 / Feb - Abr. 2024

DOI:https://doi.org/10.33414/rtyc.49.47-67.2024

ISSN 1666-6933

Reconocimiento-NoComercial 4.0 Internacional

Sistema biométrico para el análisis de la marcha utilizando unidades de medida inerciales (IMU)

Biometrics system for gait analysis using inertial measurement units (IMU)

Presentación: 31/12/2023

Aprobación: 15/04/2024

Nelson Dugarte Jerez

Instituto Regional de Bioingeniería (IRB) y Grupo GENESIS – Centro Regional de Investigación y desarrollo en Computación y Neurociencia (CeReCoN), Facultad Regional Mendoza (FRM), Universidad Tecnológica Nacional (UTN) – Argentina.

ndj0227@gmail.com

Antonio Alvarez Abril

Instituto Regional de Bioingeniería (IRB) y Grupo GENESIS – Centro Regional de Investigación y desarrollo en Computación y Neurociencia (CeReCoN), Facultad Regional Mendoza (FRM), Universidad Tecnológica Nacional (UTN) – Argentina.

antonioalvarezabril@yahoo.com.ar

Negman W. Alvarado Riviera

Instituto Regional de Bioingeniería (IRB) – Centro Regional de Investigación y desarrollo en Computación y Neurociencia (CeReCoN), Facultad Regional Mendoza (FRM), Universidad Tecnológica Nacional (UTN) – Argentina.

neuroservices.tt@gmail.com

Carlos Marcelo Gómez

Grupo de Estudios Multidisciplinarios (GEMLaR), Facultad Regional la Rioja (FRR), Universidad Tecnológica Nacional (UTN) – Argentina.

mgomez_ar@hotmail.com

Ana Lattuca

Instituto Regional de Bioingeniería (IRB) – Centro Regional de Investigación y desarrollo en Computación y Neurociencia (CeReCoN), Facultad Regional Mendoza (FRM), Universidad Tecnológica Nacional (UTN) – Argentina.

latuquen@gmail.com

Guillermo Martín Sosa Barraco

Instituto Regional de Bioingeniería (IRB) – Centro Regional de Investigación y desarrollo en Computación y Neurociencia (CeReCoN), Facultad Regional Mendoza (FRM), Universidad Tecnológica Nacional (UTN) – Argentina.

martin_sosa@live.com

Edison del C. Dugarte D.

Instituto Regional de Bioingeniería (IRB) – Centro Regional de Investigación y desarrollo en Computación y Neurociencia (CeReCoN), Facultad Regional Mendoza (FRM), Universidad Tecnológica Nacional (UTN) – Argentina.

edinson0909@gmail.com

German Lombardo

Instituto Regional de Bioingeniería (IRB) – Centro Regional de Investigación y desarrollo en Computación y Neurociencia (CeReCoN), Facultad Regional Mendoza (FRM), Universidad Tecnológica Nacional (UTN) – Argentina.

german.lombardo@docentes.frm.utn.edu.ar

Resumen

El movimiento de las personas depende de la acción del sistema nervioso sobre grupos musculares específicos que se apoyan sobre la estructura ósea. Algunos procesos patológicos pueden causar alteraciones de la fuerza y coordinación que debe existir entre las respuestas musculares, causando alteraciones en el movimiento esperado. En su fase inicial, la mayoría de estas alteraciones pasan desapercibidas hasta que los daños físicos afectan notoriamente la actividad humana, y en muchos casos de manera irreparable. Actualmente, el método más utilizado para el análisis de la marcha humana se basa en el estudio fotométrico secuencial en espacio limitado, aunque en menor medida también se utilizan sistemas de posicionamiento digital. Este proyecto aborda el desarrollo de tecnología para la captura biométrica del movimiento humano mediante sensores de medición inercial. La idea es detallar el desplazamiento espacial de secciones específicas del cuerpo a partir de la medición de aceleración y la velocidad angular, con el propósito de valorar la respuesta de las articulaciones involucradas. El objetivo es desarrollar un sistema que permita a los médicos especialistas identificar anomalías en el movimiento del paciente en estudio. Los resultados preliminares demuestran la eficiencia del sensor inercial implementado. Utilizando 7 sensores ubicados estratégicamente en el cuerpo del paciente y con una velocidad de adquisición de 100 muestras por segundo en cada sensor, es posible detallar movimientos de marcha menores a 7,5 milímetros y precisión en velocidad angular de hasta 0,1°/0,01 segundo. Con el desarrollo de este instrumento se consigue la capacidad de visualizar y analizar movimientos que normalmente son imperceptibles para el ojo humano.

Palabras claves: Biométrica de la marcha, Análisis multidimensional, Unidades de medición inercial, Valoración de las articulaciones humanas.

Abstract

The people movement depends of nervous system action on specific muscle groups that rest on the bone structure. Some pathological processes can cause alterations in the strength and coordination that must exist between the muscular responses, causing alterations in the expected movement. In their initial phase, most of these alterations go unnoticed until the physical damage significantly affects human activity, and in many cases irreparably. Currently, the most widely used method for the analysis of human movement is based on study of sequential photography in limited space, although digital positioning systems are also used to a lesser extent. This project deals with the technology development for biometric capture of human movement using inertial measurement sensors. The idea is to detail the spatial displacement of body specific sections to from the measurement of acceleration and angular movement, with the purpose of assessing the response of the joints involved. The objective is developed a system that allows to specialists medical identify abnormalities in the movement of patient under study. Preliminary results demonstrate the efficiency of implemented inertial sensor. Using 7 sensors strategically located on the patient's body and with an acquisition speed of 100 samples per second on each sensor, it's possible to detail walking movements less than 7.5 millimeters and accuracy in angular velocity up 0.1°/0.01 second. With the development of this instrument, the ability to visualize and analyze movements that are normally imperceptible to the human eye is achieved.

Keywords: Gait biometrics, Multidimensional analysis, Inertial measurement units, Assessment of human joints.

1 Introducción

El movimiento del cuerpo humano es la herramienta fundamental para explorar y organizar el entorno próximo. Esto requiere del trabajo en conjunto de los sistemas esquelético, muscular y nervioso (Ganong, 2020). Cuando se realiza el movimiento de alguna parte del cuerpo, no siempre se tiene conciencia de la acción que se realiza. Por ejemplo, cuando se ejecuta la acción de caminar, la persona normalmente no piensa en cada parte del cuerpo que debe mover, simplemente confía en las respuestas automáticas adoptadas como posturas al andar. La respuesta a la percepción espacio-temporal obtenida en los primeros años de existencia permite a las personas la capacidad de controlar el movimiento de su cuerpo. La experiencia del equilibrio estático y dinámico trae como consecuencia que a lo largo de la vida se formen esquemas de movimientos que están potencialmente impresos en el sistema nervioso, y que transfieren a los músculos la acción antes de ser interpretados por la conciencia, dando lugar a las denominadas posturas (Lizárraga, 1999).

Algunas posturas no son correctas y por lo tanto pueden afectar el correcto desempeño del cuerpo, incluso causar daños físicos al andar. Ciertas patologías pueden causar trastornos del movimiento, con afecciones principalmente del sistema nervioso. Ocasionan síntomas como espasmos, tirones o sacudidas que reducen o enlentecen los movimientos, lo cual afecta actividades tales como caminar, escribir o tocar un instrumento (Uehara et al., 2015). Los trastornos del movimiento se pueden originar por condiciones genéticas, derrames cerebrales, lesiones traumáticas, enfermedades del sistema nervioso, infecciones, por efectos secundarios de medicamentos y otros factores. Un historial de presión arterial alta, enfermedades como diabetes, la edad avanzada, y en algunos casos la adopción de malas posturas, incrementan el riesgo de trastornos del movimiento (Patel et al., 2022).

El Análisis de Movimiento Humano (AMH) tiene el propósito de cuantificar el funcionamiento del sistema músculo esquelético y su relación con el sistema nervioso durante la realización del trabajo mecánico con el propósito de diagnosticar trastornos patológicos relacionados (Pérez, A. 2015) (Mittag et al., 2022). El interés por el AMH tiene su origen en la Edad Antigua, aunque solo surge como disciplina de estudio en el Siglo XIX. Los griegos fueron pioneros en el estudio de la mecánica del cuerpo y su relación con el estado de salud del cuerpo. Con los avances en la tecnología médica moderna, principalmente basados en la anatomía y la fisiología, se generan aportaciones importantes a la biomecánica del cuerpo (Guillamon, 2014). Actualmente existen diferentes técnicas utilizadas para el AMH, basadas en la utilización de instrumentos especializados. Algunos de estas técnicas son:

El problema principal de los métodos tradicionales para el AMH se deriva de su elevado costo. Es el caso de la instalación de un pasillo de marcha múltiples cámaras de video, es causado en gran medida al elevado costo de los equipos utilizados y la instalación de la instrumentación. Adicionalmente, los métodos tradicionales también requieren una preparación especial del paciente, como la colocación de elementos reflectantes sobre el cuerpo del paciente antes de realizar la adquisición y el suministro de datos característicos del paciente al sistema para ajustar la respuesta del análisis (Haro, 2014), (Cruz, 2010).

A mediados del siglo XX, el análisis de movimiento se convirtió en un método relevante para el diagnóstico clínico, el seguimiento y las aplicaciones deportivas y ergonómicas, pero fue hasta principios del siglo XXI que se implementan mejoras en la tecnología con la utilización de sensores inerciales que combinan acelerómetros y girómetros, complementados con magnetómetros, sensores de presión, etc., con el propósito de mejorar los estudios que involucran el AMH (Marin, 2020). El empleo de sensores inerciales IMU (inertial measurement unit) en el AMH es una técnica relativamente nueva que aún causa asombro en la comunidad médica dado el nivel de detalles que se logran, pero como toda tecnología novedosa actualmente no se concreta la unificación de criterios en la presentación de resultados a partir de los datos adquiridos (Krzeszowski et al, 2022), (Alvarez, 2018), (Lefeber et al., 2019), (Weygers et al., 2020).

Los sensores IMU son dispositivos electromecánicos que detectan las fuerzas de aceleración (5hertz, 2023), ya sea estática o dinámica. Las fuerzas estáticas incluyen la gravedad, mientras que las fuerzas dinámicas pueden incluir vibraciones y movimiento. Son basados en tecnología MEMS (SBG Sistems, 2020). Existen diferentes técnicas utilizadas en la fabricación de este tipo de sensores. Algunos dispositivos son elaborados a partir de placas capacitivas internamente, donde la mitad de las placas están fijas mientras que el resto están unidas a resortes minúsculos que se mueven internamente conforme las fuerzas de aceleración actúan sobre el sensor. La variación de capacitancia entre ellas permite determinar la aceleración. Otra técnica comúnmente empleada es basada en materiales piezoeléctricos. Su funcionamiento se basa en la medición de la pequeña carga eléctrica de salida de las estructuras cristalinas cuando se coloca bajo tensión mecánica. También se utiliza la respuesta de un giroscopio, con lo cual se puede medir la velocidad angular basado en el principio de conservación del momento angular. La mayoría de giroscopios basan su funcionamiento en el efecto de Coriolis, el cual es un fenómeno que se observa en un sistema de referencia en rotación cuando un cuerpo se encuentra en movimiento respecto a un sistema de referencia (Pérez, P. 2015).

Los dispositivos IMU permiten realizar mediciones de aceleración, velocidad angular, ángulo de inclinación con respecto al eje de la gravedad terrestre e incluso mediciones de campo magnético en 3D, con valoraciones de alta precisión en relación a los ejes cartesianos (X Y Z). La utilización de sensores IMU en el diseño de sistemas para el AMH trae múltiples ventajas. Se destacan, por ejemplo:

En este artículo se presenta el desarrollo de un instrumento de bajo costo basado en el empleo de sensores IMU como alternativa práctica para el AMH en el diseño de un pasillo de marcha. La idea es colocar sensores en las partes del cuerpo del paciente con el propósito de estudiar los cambios de movimiento, por medio de las respuestas de aceleración traslacional y velocidad angular que los sensores IMU generan (Alvarez, 2018), (Lefeber et al., 2019). Lo novedoso de este trabajo se basa en la medición de la respuesta articular del paciente en un pasillo de marcha, pero para obtener las mediciones apropiadas ha sido necesario el desarrollo de instrumentación con tecnología propia para el Análisis de la Marcha (AM) con sensores IMU.

Desde el año 2019, en los laboratorios del Instituto Regional de Bioingeniería (IRB) del Centro Regional de Computación y Neurociencia (CeReCoN) de la Universidad Tecnológica Nacional – Regional Mendoza (UTN - FRM) (CeReCoN 2020), se realiza un esfuerzo en conjunto entre la Escuela de Ingeniería Electrónica y la Escuela de Ingeniería en Sistemas de Información en el desarrollo de tecnología en la utilización de sensores IMU en el campo biomédico.

2 Materiales y métodos

Este proyecto lleva por nombre “Sistema Digital para el Análisis de la Marcha” (SDAM) y tiene como objetivo cuantificar el movimiento generado en las articulaciones del paciente por medio de las curvas de respuesta de sensores IMU. Esto es posible analizando las señales captadas de los sensores ubicados estratégicamente sobre el cuerpo del paciente, en función del tiempo. Se pretende el desarrollo de un pasillo de marcha de bajo costo y altas prestaciones, que permita realizar mediciones precisas requeridas por los médicos especializados en el estudio del andar bípedo humano. Para captar el movimiento mientras el paciente camina, tal como se presenta en la Fig. 1, se utiliza una disposición de 7 sensores IMU, 3 colocados en cada pierna e identificados como SM (sensor en el muslo), ST (sensor en la Tibia) y SP (sensor en el pie) y uno colocado en la cintura identificado como SC (sensor en la cadera).

Fig. 1. Disposición de los sensores IMU en el diseño del sistema.

La idea implica que se pueden colocar tantos sensores como se requieran para describir los cambios de posición en cualquiera de las articulaciones en el cuerpo, pero en este diseño se utilizaron solo los sensores necesarios para el AM. Los sensores IMU transmiten de forma inalámbrica los valores de aceleración traslacional y velocidad angular en los 3 ejes cartesianos. La lectura de estos parámetros en función del tiempo permite calcular el desplazamiento en el espacio y por consiguiente cuantificar el movimiento sectorizado de la parte del cuerpo del paciente que está sometida al estudio.

El hardware de adquisición de datos (HAD) señalado en la Fig. 1, se utiliza en el diseño con el propósito de captar la información de los sensores y transmitir los datos al computador. En el computador, se realiza el procesamiento de la señal captada. El algoritmo de procesamiento se desarrolla en software libre, utilizando el lenguaje de programación Python.

2.1 Sensor IMU utilizado en el sistema

Existen diferentes tipos de sensores inerciales tipo IMU que se podrían utilizar en proyectos de este tipo, pero se escogió el BWT901CL por sus características de funcionamiento (WitMotion, 2022). Este dispositivo es un multisensor del tipo IMU, que implementa un algoritmo de calibración de detección automática de polarización cero. Adicionalmente, se considera de bajo costo en relación con otros componentes comerciales de características similares. Funciona con una batería incorporada, que se puede recargar por medio de la conexión eléctrica con los pines Vcc y GND del sensor, que se encuentran al costado de cada componente. La Fig. 2 presenta el aspecto físico y las dimensiones del sensor implementado.

Fig. 2. Aspecto físico y dimensiones del sensor IMU implementado.

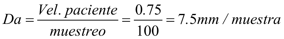
El sensor BWT901CL realiza la medición de los diferentes parámetros inerciales (aceleración, velocidad angular, etc.) en intervalos de tiempo definidos por una respuesta discreta (Albertí, 2006). La medición de un parámetro físico en un instante de tiempo se denomina muestra. En este sensor, la medición de los diferentes parámetros inerciales se realiza de forma simultánea, obteniendo una muestra por cada fenómeno físico evaluado en al mismo tiempo en lo que se denomina muestreo sincronizado. La frecuencia de muestreo en el IMU es el número de veces por segundo que realiza la medición, y en este dispositivo se puede seleccionar entre 0,2 y 200 muestras por segundo (mps). En el diseño se optó por utilizar una velocidad de adquisición de 100 mps para no saturar de datos el proceso de comunicación. La ecuación (1), permite calcular la definición en la adquisición de datos (Da). Considerando que el desplazamiento promedio de un paciente sano en estudio es de 0.75 metros por pasos y camina dando 1 paso por segundo (s), se calcula que el espacio promedio recorrido entre muestras es de 7.5 milímetros (mm), lo cual es un error despreciable en un análisis médico del movimiento.

(1)

La resolución en la adquisición de datos hace referencia a la precisión en la valoración de cada muestra. Este componente tiene una respuesta digital con resolución de 16 bits por muestra. La comunicación de datos es bidireccional y de forma serial, con velocidad constante de 115200 baudios. Se puede realizar de forma inalámbrica por Bluetooth 2.0 o cableada por medio de una interfaz USB que se conecta a los pines Rx y Tx que se encuentran en la misma conexión lateral. En este proyecto se implementa la comunicación inalámbrica para evitar la interferencia de los cables con el movimiento del paciente.

2.2 Calibración de los sensores IMU

Los procedimientos de calibración pretenden la disminución del error de medición por medio de procedimientos de contraste con un sistema o instrumento patrón (Morris, 2001). Los fenómenos físicos que captan sensores inerciales tienen como referencia la gravedad terrestre. Por consiguiente, cada vez que inicializa el funcionamiento del sistema se debe realizar un procedimiento de calibración, con el propósito de indicar al software cual es la línea origen o valor 0 con respecto a cada parámetro físico a medir.

El algoritmo del sistema (descrito en la sección 2.3) realiza una acción ejecutable del software de calibración proporcionado por el fabricante del dispositivo (WitMotion, 2022), que interactúa de forma sincronizada para todos los sensores IMU interconectados. Con la culminación del procedimiento de calibración se da inicio al estudio de movimiento del pasillo de marcha.

El algoritmo de WitMotion realiza el proceso de calibración en tres etapas. En primer lugar, efectúa la calibración del acelerómetro. Para esto, se tiene en cuenta que el módulo del vector de aceleración perpendicular al plano terrestre que proporciona el sensor durante los periodos de tiempo en los que se encuentre estático debe ser igual a la fuerza de la gravedad. Esta afirmación es clara, puesto que cuando un cuerpo está en reposo, la única aceleración que actúa sobre el mismo es la gravedad (Nee, 2008). En segundo lugar, para calibrar el giroscopio se utiliza el vector de gravedad proporcionado por el acelerómetro calibrado, el cual debe ser igual al vector de gravedad calculado al integrar las velocidades angulares proporcionadas por el giroscopio. Por último, se ajusta a cero (0) el ángulo correspondiente al eje perpendicular al plano terrestre y por correspondencia se ajusta los valores ortogonales de los otros dos ejes coordenados.

2.3 Hardware de adquisición de datos

El HAD, es la etapa del sistema encargada de recibir los datos de los sensores vía Bluetooth y transmitir la información al computador. La Fig. 3, presenta un esquema simplificado del HAD. Las señales emitidas por los sensores IMU colocados en el cuerpo del paciente son captadas por las Tarjetas Bluetooth XM-15B (Laskakit, 2020), identificadas como TB en la Fig. 3. Cada sensor IMU se programa para establecer un canal de comunicación exclusivo con su correspondiente TB.

Fig. 3. Esquema simplificado del HAD implementado en el sistema.

La XM-15B, mostrada en la Fig. 4, permite la comunicación bidireccional con velocidad de transmisión entre 1200 bps y 1.3Mbps, con alcance hasta 30 metros. Se interconecta con el módulo Raspberry Pi 3 de forma cableada, tomando la energía por los pines Vcc y GND. La comunicación de datos se realiza por los pines RX y TX, en formato serial.

Fig. 4, Tarjeta Bluetooth XM-15B utilizada en el sistema.

En la Fig. 5, se muestra el módulo Raspberry Pi 3 modelo A+, utilizado en el sistema (Raspberry, 2022). Es un computador de 4 núcleos mono-tarjeta de bajo costo y de tamaño compacto, que funcionan a 1,4 GHz. Posee 1GB SDRAM de memoria, lo cual facilita el manejo de la elevada densidad de información que se puede adquirir de los sensores IMU. Cuenta con 40 pines que funcionan como puertos de entrada/salida de propósito general (GPIO del inglés General Purpose Input Output). La comunicación con las TB se realiza interconectando los pines Rx y TX de cada TB con pines GPIO programados en la Raspberry.

Fig. 5. Módulo Raspberry Pi 3 utilizado en el sistema.

La programación de la Raspberry se realizó para efectuar la comunicación de todos los sensores IMU con el computador Personal (PC). Esta placa posee un integrado FTDI que al ser conectado al USB de la PC genera un puerto serial asincrónico tipo COM. Los receptores de Bluetooth denominados TB en la Fig. 3, se activan al energizar la Raspberry. Los sensores IMU se acoplan automáticamente al activar las TB. La transmisión de datos desde los sensores se controla desde la PC y se inicia posterior al proceso de calibración. La calibración e inicio de transmisión de datos se hace de forma simultánea a todos los sensores, con el propósito de medir de forma sincronizada todos los movimientos de las piernas del paciente.

La información que transmite cada sensor IMU consiste en la aceleración y velocidad angular en los tres ejes de coordenadas (3D). Estos datos se transfieren en tramas de 11 bytes a 115200 baudios (1 bit de inicio + 8 bits del dato sin bit de paridad + 1 bit de stop por baudio). Las tramas se reciben en la Raspberry comenzando con la aceleración y luego la velocidad angular de cada sensor en puertos diferentes. En cada puerto se verifica el encabezado, checksum y tipo de dato que se recibe, y se guarda en un buffer para luego ser transmitido al PC. Cuando se completan los datos de un muestreo de los 7 sensores IMU, se envía la información recopilada en el búfer al PC en una sola trama de 77 baudios. Dado que la velocidad de muestreo es de 100 mps, cada trama del búfer se transmite al computador en intervalos de 10 milisegundos (ms). A pesar de la densidad de información, la velocidad de procesamiento de la placa Raspberry permite transmitir todos los datos en tiempo real al PC.

2.4 Software desarrollado para el manejo del sistema

El sistema se diseñó para que funcione como una aplicación digital desde cualquier computador personal. Permite controlar los sensores IMU para realizar la adquisición, realizar el almacenamiento de los datos, analizar la información y presentar de forma gráfica los resultados obtenidos. Todo el software se desarrolló con el lenguaje de programación Python.

El diseño de la interfaz con el usuario se elaboró siguiendo la experiencia en el desarrollo de sistemas de Historia Médica Electrónica (HME) bajo el protocolo HL7 que se ha adquirido en el laboratorio (Dugarte et al., 2015), pero aplicado al estudio fisiológico del AM. Al iniciar la aplicación se abre la ventana mostrada en la Fig. 6, donde el usuario puede abrir la historia médica de un paciente o crear una nueva para alguien que asiste por primera vez.

Fig. 6. Ventana de inicio del software desarrollado.

La Fig. 7, muestra la ventana de Historia Médica del Paciente. Esta etapa del software se diseñó para adjuntar los datos del paciente a todas las adquisiciones de AM que se realicen. La base de datos se desarrolló con el sistema de administración MySQL pero controlada desde Python. El botón “Regresar” en esta ventana, permite volver a la ventana de inicio. El botón “Editar Historia” se utiliza para completar datos del paciente o corregir errores cometidos al anotar la información del paciente.

Fig. 7. Ventana de Historia médica del paciente.

El botón “Abrir” permite acceder a los estudios anteriores realizados a este paciente. Cuando se acciona el botón “Tomar” se inicia el proceso para un nuevo estudio de movimiento en el pasillo de marcha. Al momento de iniciar un estudio, se realiza la calibración automática de los sensores IMU (descrito en la sección 2.2), asegurando la correspondencia de los ejes ordenados en todos los sensores. Seguidamente, se configura la velocidad de adquisición y se sincronizan todos los sensores para iniciar el muestreo de la información de forma simultánea. Al iniciar la adquisición, los datos transmitidos vía USB al computador se ordenan de acuerdo a la correspondencia de cada canal y se almacenan en tiempo real. El procesamiento y la presentación gráfica de los resultados se realiza al finalizar la adquisición.

2.5 Procesamiento de la información adquirida

El sistema realiza el procesamiento de los datos en tiempo diferido. Cada sensor IMU proporciona datos de aceleración y velocidad angular en los 3 ejes cartesianos, con lo cual se puede calcular la velocidad y el desplazamiento en el espacio en cada intervalo de tiempo determinado por el muestreo. Esto es posible, dado que la aceleración está definida por el diferencial de la velocidad con respecto al tiempo y a su vez la velocidad está definida por el diferencial de la distancia recorrida en el espacio con respecto al tiempo (Moebs, 2021).

Cuando se inicia el análisis de la señal con el software de procesamiento desarrollado, primero se procede a normalizar los datos adquiridos. Como el sensor parametriza la gravedad con valor 1, se procede a multiplicar por el factor de la gravedad en la tierra que es -9,807 m/s2. Seguidamente, dado que se trata de un sistema discreto con paso de tiempo constante, se calcula la velocidad a partir de la ecuación 2, donde v(0) = 0 + C1, por consiguiente C1 = v(0).

(2)

La ecuación 3 se obtiene a partir de la ecuación 2, donde la velocidad en forma discreta se obtiene por cada muestra “n” de aceleración, con lo cual se asume n = 1 para la velocidad inicial v(1) = 0. El tiempo “t” está definido por la frecuencia de muestreo, por consiguiente t = 0,01 segundo (s).

(3)

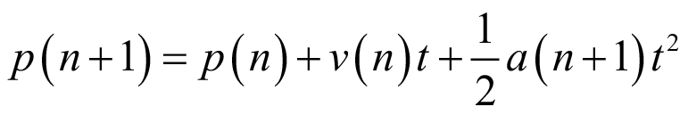
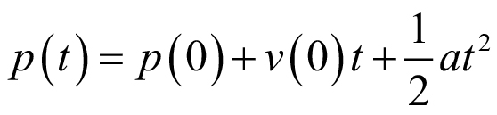
Y al realizar la integral de la velocidad con respecto al tiempo (definida en la ecuación 2) se puede calcular del desplazamiento p(t), tal como se muestra la ecuación 4.

(4)

Asumiendo que la velocidad inicial y la aceleración inicial son nulas, la posición inicial queda definida como p(0) = 0 + 0 + C2 → C2 = p(0), con lo cual al sustituir C2 en la ecuación 4 se obtiene la ecuación 5.

(5)

La ecuación 6, permite calcular el desplazamiento discreto a partir de cada muestra de aceleración, utilizando los datos de velocidad y desplazamiento calculados en la muestra anterior, y donde se asume que p(1) = 0. Cabe destacar que el tiempo permanece definido por la velocidad de muestreo como t = 0,01s dado que se trata de una medición discreta.

(6)

2.6 Software para el procesamiento de la información

El software de procesamiento de los datos se desarrolló en lenguaje de programación Python. La Fig. 8, presenta un esquema simplificado que describe la secuencia en que se ejecuta el algoritmo. Este software se puede ejecutar en cualquier momento posterior a la adquisición de datos.

Fig. 8. Esquema simplificado que describe la secuencia en que se ejecuta el algoritmo.

Cuando inicia la ejecución del algoritmo, se accede a la base de datos, donde se encuentra la información adquirida de cada sensor en formato de matriz con extensión CSV (archivos con valores separados por comas). Las columnas en cada matriz representan los parámetros físicos captados y el número de filas equivale al total de muestras adquiridas, un ejemplo de esta disposición se muestra en la Tabla 1. Las columnas identificadas con aX, aY, aZ contienen los valores de aceleración, las columnas anotadas con wX, wY, wZ muestran los resultados de velocidad angular en cada uno de los ejes, y en las columnas referidas por los encabezados Øx, Øy, Øz se anotan los valores del ángulo de inclinación del sensor con respecto a cada eje coordenado. Por cada estudio que se realice a un paciente se generan 7 matrices de datos. Cada estudio se almacena en la base de datos adjunto al ID de la HME del paciente.

Time(s)

aX(g)

aY(g)

aZ(g)

wX(deg/s)

wY(deg/s)

wZ(deg/s)

Øx (deg)

Øy (deg)

Øz (deg)

10.02

0.0586

-0.6221

-0.0190

-4.2725

-6.2866

13.7939

-0.2087

1.9116

-52.6794

10.03

0.0586

-0.6230

-0.0190

-3.5400

-7.9956

12.7563

-0.2091

1.9116

-52.6793

10.04

0.0313

-0.6250

-0.0771

-2.8140

-8.4560

11.8553

-0.2077

1.9125

-52.6794

10.05

0.0313

-0.6244

-0.0771

-1.9531

-7.6411

10.8877

-0.2060

1.9140

-52.6794

10.06

0.0093

-0.6241

-0.0957

-1.3001

-7.0130

9.9879

-0.2049

1.9173

-52.6795

Tabla1. Formato de almacenamiento en matriz utilizada para guardar los datos adquiridos con un sensor IMU.

En la segunda etapa del algoritmo, señalada en el gráfico de la Fig. 8, se procede a calcular el vector de velocidad correspondiente a cada IMU. Este vector describe el perfil de cambio en el movimiento de cada sección del cuerpo del paciente. En la tercera etapa se calcula el vector de posición, que se genera a partir del desplazamiento en el espacio de cada uno de los sensores. En la cuarta etapa del algoritmo se obtiene la diferencia del ángulo que se genera entre cada par de sensores consecutivos. Este cálculo se realiza en dos partes: en primer lugar, se evalúa la diferencia con respecto al plano sagital del cuerpo (plano X-Y), lo cual describe la respuesta de bisagra en cada articulación. En segundo lugar, se calcula el ángulo de respuesta con respecto al plano transversal al cuerpo (plano X-Z), lo cual muestra los niveles de torsión que experimenta cada articulación.

La última parte del algoritmo permite seleccionar los resultados que se desean presentar de forma gráfica. Esto se hace para evitar que el elevado volumen de información pueda distorsionar la evaluación médica, permitiendo un enfoque más detallado de la sección que el especialista desea estudiar. Los vectores resultantes no se almacenan de forma permanente, dado que se calculan cada vez que se accede al software de procesamiento.

3 Resultados obtenidos

Para evaluar el funcionamiento del sistema con un sensor, se diseñó un experimento simple. Consiste en fijar el sensor al extremo de un péndulo con brazo oscilante rígido de 39 cm de largo. El brazo del péndulo se encuentra sujeto al mástil por un eje transversal para que el movimiento solo se pueda ejecutar en un plano. El experimento inicia al liberar el brazo oscilante a 45° con respecto al eje del anclaje. Dado que el movimiento del péndulo es calculable, se utiliza como referencia de contraste ante la medición que se obtiene del sensor IMU. La adquisición de datos se realiza durante 30 segundos, con lo cual solo se captan los primeros ciclos de oscilación del péndulo. Una fracción de los datos adquiridos con el IMU al ejecutar el experimento se muestran en la Tabla 1. La Fig. 9, presenta una imagen del péndulo y la gráfica que se obtiene como respuesta de la velocidad angular del movimiento de rotación en el eje Z con respecto al tiempo.

Fig. 9. Diseño del péndulo y gráfica de velocidad angular del movimiento de rotación adquirida del eje z.

Todos los experimentos con personas se realizaron bajo la supervisión de un médico especialista. Cabe destacar que todas las personas que participaron en los experimentos realizados en el desarrollo de este proyecto lo hicieron de forma voluntaria y sin fines de lucro. Antes de cada experimento se realizó la explicación de la naturaleza y las características del estudio y se pidió la firma del consentimiento informado por escrito de cada uno de los participantes. En la Fig. 10, se muestra la colocación de los sensores IMU identificados como SP y SR en el cuerpo de uno de los pacientes control que participaron en los experimentos.

Fig. 10. Paciente control con los sensores IMU identificados como SP y SR.

Las señales adquiridas de cada uno de los 7 sensores en el cuerpo del paciente permiten parametrizar el movimiento de cada una de las secciones en las piernas del paciente y el comportamiento de todas las articulaciones involucradas en el andar. La Fig. 11, muestra un fragmento de la velocidad obtenida por calculo a partir de la aceleración adquirida del sensor “SR” colocado en la pierna derecha de un paciente control, donde se aprecia la ejecución de tres pasos al andar.

Fig. 11. Respuesta en los tres ejes de coordenadas de la ejecución de tres pasos al andar de un paciente

En esta gráfica se presenta la respuesta de velocidad en los tres ejes de coordenadas correspondiente al intervalo de adquisición entre 3 y 9 s. Dada la colocación del sensor, el eje X cuantifica el movimiento hacia adelante y hacia atrás de la pierna, el eje Y mide los movimientos verticales paralelos a la pierna y el eje Z evalúa los movimientos transversales laterales a la pierna. En la sección identificada como paso 1, pueden notarse los cambios de velocidad en 3 etapas, marcadas como E1, E2 y E3. Estas etapas se repiten en cada paso al andar. La primera parte del paso “E1” corresponde a la velocidad desarrollada al levantar y bajar la pierna, la segunda etapa “E2” muestra el impacto al golpear el piso, la tercera parte “E3” muestra los cambios de velocidad que experimenta la pierna en busca del equilibrio al levantar la pierna opuesta y los cambios de velocidad mientras la pierna opuesta ejecuta la contraparte del paso. Puede notarse como la respuesta obtenida en cada paso es muy parecida, pero con algunas variantes de velocidad, las cuales exponen como el cuerpo corrige su posición constantemente al andar para mantener el equilibrio.

Para la medición de la respuesta en la articulación, principalmente se analizan los cambios de ángulo entre las secciones adyacentes y se calcula la diferencia entre estas con respecto al tiempo. El sensor IMU muestra el ángulo de respuesta en los tres ejes de coordenadas, pero para definir el contenido de interés médico en la sección del cuerpo que corresponde normalmente se calcula el ángulo de respuesta entre dos ejes. Esto permite parametrizar el comportamiento de la sección del cuerpo en un plano definido con respecto al tiempo. En la Fig. 12, se presenta el ángulo de respuesta en el plano X e Y correspondiente a los sensores SP (sección del Pie) y SR (sección de la Pierna) en el intervalo de tres pasos, adquirido de un paciente control. En la gráfica de la Fig. 12 también se muestra el ángulo de “Resultante”, que se obtiene por la diferencia entre las respuestas de SP y SR. Esta señal es un indicador paramétrico del ángulo en el plano X e Y que experimenta la articulación del pie al dar el paso.

Fig. 12. Ángulo de respuesta en el plano X e Y correspondiente a los sensores SP y SR, y Resultante en la articulación del tobillo.

3.1 Limitaciones del instrumento desarrollado

La principal limitación en este desarrollo se deriva del empleo de tecnología novedosa. Tal como se mencionó en la introducción, actualmente no se concreta la unificación de criterios en la presentación de resultados a partir de los datos adquiridos. Por consiguiente, la información presentada como resultados en este producto es evaluada en función de los requerimientos de los especialistas médicos que asesoraron el desarrollo del prototipo.

Es evidente que la densidad de información de resultados (18 vectores resultantes que definen el comportamiento de las tres articulaciones de cada pierna) y las diferencias inherentes entre la marcha de cada paciente, dificultan generar un enfoque claro de los métodos de análisis generales.

Una limitación importante en este instrumento es dada por la dependencia de las baterías que alimentan los sensores IMU. El empleo del hardware requiere energía, y la carga completa de las baterías de los sensores solo proporciona rendimiento para realizar de dos a tres estudios en pacientes. Por consiguiente, se pierde un tiempo valioso al tener que recargar los dispositivos IMU.

Un aspecto importante que se debe recalcar es la importancia de la normalización del ambiente en que se realizan los estudios con pacientes. Si bien este sistema se diseñó para que sea portátil, es importante que los estudios en pacientes sean realizados en espacios bien definidos por los médicos especialistas. Esto se hace con el propósito de no generar errores de medición por movimientos inapropiados en los pacientes o errores de funcionamiento del sistema por perdida de comunicación entre los sensores y el hardware de adquisición, causadas por alejamientos fuera del área de cobertura del sistema.

3.2 Propuesta de trabajo a futuro en esta línea de investigación

La temática tratada en esta investigación es muy amplia por lo que genera diversas interrogantes a resolver y plantea nuevos retos que pueden proporcionar soluciones importantes en diagnóstico, tratamiento e investigación de patologías relacionadas con el movimiento humano.

El diseño de este sistema se enfocó sobre el análisis de secciones del cuerpo, pero es interesante desarrollar un sistema que permita el análisis de movimiento integral de toda la estructura del cuerpo. También es importante desarrollar un método de presentación de resultados en 3D que mejore las capacidades de percepción de los especialistas para captar los detalles de movimiento.

En esta línea de investigación, se propone avanzar en las técnicas de procesamiento que implementan inteligencia artificial. Lo cual, representaría una reducción de tiempo en el manejo y análisis de la elevada densidad de información en el estudio de la marcha.

También se propone que el sistema sea empleado en otros estudios adicionales al de la marcha, como en el análisis del movimiento del cuello o de los brazos del paciente. Así mismo, resultaría interesante que el sistema pueda utilizarse en la recuperación de pacientes que han sufrido un ACV (Accidente Cerebro Vascular) o bien otro tipo de patologías no previstas inicialmente en el planteamiento del proyecto.

Una aplicación importante en la cual se podría implementar este sistema es en medicina del deporte. El estudio de movimiento en atletas podría permitir una reducción significativa del riesgo de lesiones y la optimización de movimientos en busca de incrementar los resultados obtenidos.

4 Conclusiones

La precisión de los datos del sensor IMU, con 16 bit de resolución por muestra, definen 0.01 gravedad (g) en aceleración y 0.05° en movimiento angular. Esto permite obtener mediciones de cambios de posición en cualquier parte del cuerpo con alta precisión. El recorrido en el espacio tridimensional se obtiene como resultado del desplazamiento acumulado en el tiempo dado por los cambios en el desplazamiento y el movimiento angular.

La respuesta de adquisición a 100 mps permite identificar movimientos en intervalos de 10 milisegundos, lo cual permite que en una persona sana se puedan visualizar cambios de posición con una resolución de 7,5mm/muestra. Si el estudio se realiza a un paciente con alguna patología es evidente que el movimiento será menor y por consiguiente se tendrá una mayor resolución. Este nivel de error está dentro de los parámetros de evaluación de cualquier parte del sistema neuromuscular del cuerpo.

La medida del movimiento angular en cada eje resulta simple de utilizar, porque el sensor entrega una escala de medición en grados. La parametrización de la respuesta en las articulaciones es un tema de importancia médica, pero también tiene otros campos de aplicación como en la industrial y en la robótica.

Dados los resultados emanados con el desarrollo del sistema se tiene como conclusión que puede ser implementado en la medición del movimiento humano, para evaluar el desempeño de las articulaciones inferiores en la ejecución de la marcha. Cabe destacar que la velocidad de respuesta y la precisión en la adquisición de datos lo hacen óptimo para captar el movimiento aun en casos de movimientos extremos, lo cual apunta al AMH de atletas en el estudio de la medicina del deporte.

Como suele suceder en proyectos de este tipo, se abre un amplio abanico de nuevas interrogantes y desafíos de investigación. Las posibilidades de utilización en rehabilitación no solamente de pacientes con dificultades en su esquema de marcha sino también en la recuperación de pacientes que han sufrido un ACV o bien otro tipo de patologías relacionadas. En definitiva, estamos convencidos que este proyecto es apenas el inició de una línea de investigación que puede ser muy provechosa para el mejoramiento en salud.

Agradecimientos

Se agradece a los departamentos de Ingeniería Electrónica e Ingeniería en Sistemas de la Facultad Regional Mendoza y al Grupo de Estudios Multidisciplinarios (GEMLaR), Facultad Regional la Rioja (FRR), todos de la Universidad Tecnológica Nacional, por la colaboración científica y tecnológica en el desarrollo del proyecto. Así mismo, se hace extensivo el agradecimiento a todas las personas e instituciones que han permitido que este proyecto sea factible.

Referencias

5hertz online. (2023). ABC del acelerómetro. Tutoriales 5hertz Electrónica. URL: https://www.5hertz.com/index.php?route=tutoriales/tutorial&tutorial_id=2

Albertí, E. (2006). Procesado digital de señales. Edición de la Universidad Politécnica de Catalunya, SL. Barcelona.

Alvarez, J.; Álvarez, D. López A. (٢٠١٨). Accelerometry-Based Distance Estimation for Ambulatory Human Motion Analysis. MDPI Editorial Sensors, ١٨, ٤٤٤١; https://doi.org/١٠.٣٣٩٠/s١٨١٢٤٤٤١.

Britannica. (2020). Hooke’s law. URL: https://www.britannica.com/science/Hookes-law. (Consultado en mayo 2020).

CeReCoN. (2020). Centro Regional de Investigación y Desarrollo en Computación y Neuroingeniería de la Universidad Tecnológica Nacional (UTN), Facultad Regional Mendoza (FRM). URL: http://www.cerecon.frm.utn.edu.ar/. (Consultado febrero, 2021).

Cruz, J.; Cruz, B.; Alfonso, R.; Adsuar, J. (2010). Revisión actual sobre metodología empleada en la valoración de la marcha humana normal y patológica. Revista Digital EFdeportes, Buenos Aires, Año 15, Nº 146. URL: https://www.efdeportes.com/efd146/valoracion-de-la-marcha-humana-normal-y-patologica.htm.

Dugarte, N., Medina, R., Rojas, R. (2015). Open Source Cardiology Electronic Health Record Development for DIGICARDIAC Implementation. 11th International Symposium on Medical Information Processing and Analysis (SIPAIM 2015), Editor: International Society for Optics and Photonics. Vol. 9681, pp: 96810Y-96810Y-11.

Ganong, W. (2020). Fisiología médica, Manual Moderno. 26ª Ed. Editorial McGraw-Hill. Madrid.

García, G., Elvar, H., Arenas, A., Pérez, C., Aguilera, J. (٢٠١٧). Dispositivos y Técnicas Para la Medición del Rendimiento del Salto Vertical. Journal of Physical Exercise and Health Science for Trainers. URL: https://g-se.com/dispositivos-y-tecnicas-para-la-medicion-del-rendimiento-del-salto-vertical-que-opciones-tenemos-2280-sa-259430c9460ba4.

Guillamón, A. (2014). Biomecánica del movimiento humano: evolución histórica y aparatos de medida. Revista Digital EFDeportes.com, 18 (188). URL: https://www.efdeportes.com/efd188/biomecanica-del-movimiento-humano.htm. (Consultado junio, 2020).

Haro, M. (2014). Laboratorio de análisis de marcha y movimiento. Rev. Med. Clin. Condes, Vol. 25(2): 237-247.

Krzeszowski, T.; Switonski, A.; Kepski, M.; Calafate, C. (2022). Intelligent Sensors for Human Motion Analysis. MDPI Editorial Sensors, 22, 4952. https://doi.org/10.3390/s22134952

Laskakit. (2020). Xm 15B Bluetooth serial module specification. URL: https://www.laskakit.cz/user/related_files/xm-15b.pdf. (Consultado en abril, 2021).

Lefeber, N., Degelaen, M., Truyers, C., Safin, I., and Beckwée, D. (2019). Validity and Reproducibility of Inertial Physilog Sensors for Spatiotemporal Gait Analysis in Patients With Stroke. IEEE Transactions on Neural Systems and Rehabilitation Engineering, vol. 27, no. 9, pp. 1865-1874. https://doi.org/10.1109/TNSRE.2019.2930751.

Lizárraga Chávez, G. (1999). Cuerpo y movimiento: dimensión psicológica. Revista de Psicología Año 3, no. 5, pp. 129-163.

Marin, F. (2020). Human and Animal Motion Tracking Using Inertial Sensors. MDPI Editorial Sensors, 20, 6074; https://doi.org/10.3390/s20216074.

Mittag, C.; Waldheim, V.; Krause, A.; Seel, T. (2022). Using a single inertial sensor to control exergames for children with cerebral palsy. Current Directions in Biomedical Engineering, vol. 8, no. 2, pp. 431-434. https://doi.org/10.1515/cdbme-2022-1110.

Moebs W., Ling S., Sanny J. (2021). Física universitaria, volumen ١. Editorial OpenStax, URL: https://openstax.org/books/f٪C٣٪ADsica-universitaria-volumen-١/pages/٣-٦-calcular-la-velocidad-y-el-desplazamiento-a-partir-de-la-aceleracion. (Consultado mayo, 2022).

Morris A. (2001). Measurement and Instrumentation Principles. Butterworth-Heinemann Publishing Ltd., third edition, Great Britain.

Nee, C.; Ong, S.; Fong, W. (2008). Methods for in-field user calibration of an inertial measurement unit without external equipment. Measurement Science and Technology, Vol. 19, no 8.

Patel, G.; Mullerpatan, R.; Agarwal, B.; Shetty, T.; Ojha, R.; Shaikh-Mohammed, J.; Sujatha, S. (2022). Validation of wearable inertial sensor-based gait analysis system for measurement of spatiotemporal parameters and lower extremity joint kinematics in sagittal plane. The Journal of Engineering in Medicine, online journal vol. 236 (5).

Pérez, A. (2015). Análisis de movimiento humano: aplicaciones en rehabilitación física. Seminario del Instituto de Ciencias Físicas ICF, Universidad Nacional Autónoma de México. México DF.

Pérez, P. (2015). Un método de calibración de sensores inerciales. Tesis de grado para Máster en Matemáticas, departamento de publicación de la Universidad de Almería, España. URL: https://repositorio.ual.es/bitstream/handle/10835/6262/7327_Trabajo_Paula_Perez.pdf?sequence=1

Raspberry Pi. (2022). Raspberry Pi 3 Model A+. URL: https://www.raspberrypi.com/ products/raspberry-pi-3-model-a-plus/. (Consultado junio, 2022).

SBG Sistems. (2020). ¿Qué es la tecnología MEMS?. URL: https://www.sbg-systems.com/es/soporte/tecnologia/tecnologia-mems-imu-ahrs-ins/. (Consultado enero de 2023).

Uehara, M.; Glez del Tánago, G.; Neag, C.; Del Olmo, P.; Carlavilla, F. (2015). Trastornos del movimiento. Fundación Dialnet, Panorama actual del medicamento, vol. 39 (381): 172-185.

Valladolid, O., Madera, F., Aguayo, A. (2019). Análisis Gráfico del Movimiento Humano para Detectar Alteraciones Biomecánicas. Revista de Ingeniería de la Universidad Autónoma de Yucatán. Mexico DF, 23 (2): 52-67.

Weygers, I.; Kok, M.; De Vroey, H.; Verbeerst, T.; Versteyhe, M.; Hallez, H.; Claeys, K. (2020). Drift-Free Inertial Sensor-Based Joint Kinematics for Long-Term Arbitrary Movements. IEEE Sensors Journal, vol. 20 (14): 7969-7979. Doi: 10.1109/JSEN.2020.2982459.

WitMotion Shenzhen Co. (2022). Bluetooth AHRS IMU sensor BWT901CL. Datasheet v20-0707. URL: www.wit-motion.com. (Consultado mayo 2022).